MPBSE MP Board Class 12th Maths Model Paper 2024: The current academic year is in its final months, and the board exams are on the horizon. The curriculum has been completed in most schools and students are now focusing on revising the concepts they already know, as they should.
This isn’t the time to pick up new topics, and keeping that in mind the MP Board has made the model papers for 2024 available. The Madhya Pradesh board is among the top education bodies in India and is responsible for conducting the annual MPBSE board exams. The datesheet for class 12 has already been announced, and the highly important maths paper is on February 27, 2024. You can check the MP Board Class 12 Maths Model Paper 2024 below.
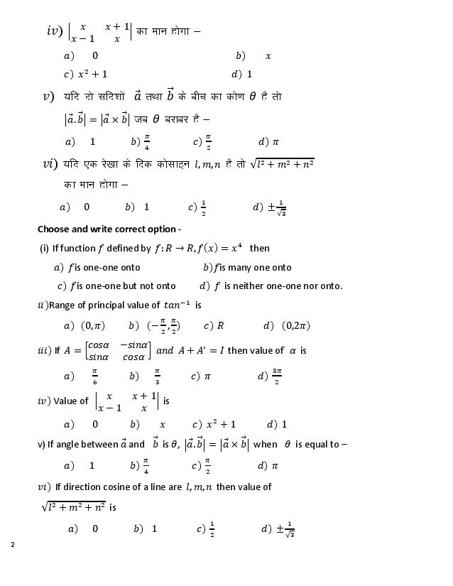
MP Board Maths Model Paper 2024
There are many benefits of solving the model papers beforehand, especially for tough subjects like mathematics.
Solving sample papers can give an idea of the exam pattern, teach time management skills, improve writing speed and help students effectively manage exam stress.
On that note, we bring you the Madhya Pradesh board math model paper 2024 class 12 here.
View and download the complete MPBSE mathematics model paper 2024 below.




MP Board Class 12 Maths Model Paper 2024 PDF |
How to download the MP Board Maths Model Paper 2024?
- Go to the official website of the MP Board at https://mpbse.nic.in/
- Scroll through the home page to find the “Academics” tab. Click on it.
- Check the new notifications for प्रश्न पत्रों के पेटर्न.
- Scroll the page to find the MP Board Class 12 Mathematics Model Paper 2024
Also Read: MP Board 12th Time Table 2024: Download MPBSE Class 12 Exam Date PDF
Comments
All Comments (0)
Join the conversation