AP TET Normalization 2024: The Department of School Education, Government of Andhra Pradesh, will release the AP TET Result 2024 on March 14. Candidates who appeared for the AP TET exam can download their AP TET result from the official website at aptet.apcfss.in. The officials will follow the AP TET Normalization process 2024 while calculating the result. Normalization is a standard practice to equate scores of candidates taking the exam on different dates or shifts, ensuring fairness.
The AP TET 2024 exam took place from February 27 to March 9, 2024, with each session featuring different sets of question papers. While the exam conducting authority ensures to maintain uniformity in the difficulty levels of the exam across all shifts and days, it is possible that some candidates may end up attempting a tougher set of question papers, which can eventually affect their score. To resolve this issue and uphold fairness, the officials follow the AP TET Normalisation process 2024.
Also, read:
What is AP TET Normalization 2024?
The AP TET Normalization process is a standard procedure used to adjust or modify the raw marks obtained by candidates because of variations in the difficulty level of the exam across different shifts. This is done to ensure fairness in the examination. The AP TET Result is scheduled to be released on March 14 along with the AP TET cut off marks. The officials will release the AP TET result following the normalization process.
How is AP TET Normalised Score Calculated?
The officials simply input the values into the AP TET Normalization formula. Once solved, you will receive the AP TET Normalized score. This formula is used to address any discrepancies in the difficulty levels of various exam shifts.
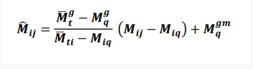
AP TET Normalisation Formula 2024
According to the official notification, this is the AP TET Normalization Formula which will officials will use:

𝑴𝒊𝒋 = Normalized marks of the jth candidate in the ith shift.
𝑴𝒕𝒈= is the average mark of the top 0.1% of the candidates considering all shifts.
𝑴𝒒𝒈= is the sum of the mean and standard deviation marks of the candidates in the examination considering all shifts.
𝑴𝒕𝒊= is the average mark of the top 0.1% of the candidates in the ith shift.
𝑴𝒊𝒒= is the sum of mean marks and standard deviation of the ith shift.
𝑴𝒊𝒋= is the actual marks that the jth candidate obtained in the ith shift.
𝑴gm𝒒= is the sum of the mean marks of candidates in the shift having maximum mean and standard deviation of marks of candidates in the examination considering all shifts.
How does AP TET Normalization Work?
The Department of School Education uses the AP TET Normalization formula to determine the difficulty level of each exam session by analysing the scores of all candidates who participated in that particular shift. Officials presume that everyone's abilities are same across all shifts. This implies that the average skill level of all candidates remains consistent across every shift. This approach is effective since lakhs of candidates appear for the exam, and shifts are randomly assigned to them.
AP TET Result 2024
The Department of School Education, Government of Andhra Pradesh will soon release the AP TET Result 2024 on its official website at aptet.apcfss.in. It will be released on March 14, as per the official notification. Test takers can download the AP TET result by entering their roll number and password. Those who will qualify the exam will get APTET Certificate/Memo which will remain valid for a lifetime.
Comments
All Comments (0)
Join the conversation