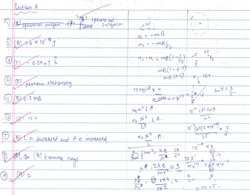
CBSE Topper Answer Sheet for Class 12 Physics: As students prepare for their CBSE Class 12 Physics exam 2025, mastering the skill of answer writing can be a significant challenge. Reviewing toppers' answer sheets is one of the most effective ways to understand the art of presenting answers concisely and accurately. The CBSE Class 12 Physics topper answer sheet, recently released by the CBSE Board, serves as a valuable resource for students. It demonstrates how to structure responses effectively and provides key insights into the marking process followed by CBSE evaluators.
Scroll down to download the CBSE Class 12 Physics topper answer sheet from the highest scorer of the previous year.
Also Check|
CBSE Class 12 Physics Topper Answer Sheet 2025
Here is the Class 12 Physics answer sheet by a CBSE topper, which will guide students on writing accurate and well-organised answers. It will help the 2024-25 batch understand how to present their solutions correctly during the board exams.





To download the complete answer sheet for CBSE Class 12 Physics, click the link below:
| Download CBSE Class 12 Physics Topper Answer Sheet PDF for 2025 Board Exams |
Related:
By reviewing this answer sheet, you’ll notice key practices such as starting the paper with numerical-based questions, using labelled diagrams, and writing step-by-step answers for derivations. These strategies can significantly enhance your performance in the exams.
Comments
All Comments (0)
Join the conversation