CBSE Class 12 Electromagnetic Waves Formula List: Download PDF

Jun 13, 2024, 15:54 IST

Electromagnetic Waves Formula Sheet Class 12: In this article, students can find CBSE Class 12 Physics Chapter 8 Electromagnetic Waves formula sheet along with PDF download link of the same. Also, find physical quantities, symbols, units, and more.

Get here Electromagnetic Waves Class 12 Formula Sheet PDF
Get here Electromagnetic Waves Class 12 Formula Sheet PDF

Electromagnetic Waves Formula Sheet Class 12: CBSE Class 12 Physics Chapter 8 Electromagnetic Waves formula sheet has been presented below for students. The formula sheet is a single piece of document that consists of all the formulas at a single location. It has various benefits such as its portable nature, easiness in memorisation of formulas, quick reference as and when required, and many more. It is always better for students to keep the formula sheets handy while practising sums, solving exercises, or preparing for the exams. Especially, for a subject like Physics, formula sheets take the responsibility of putting life at ease. These pages can also be carried to the classrooms as well as tuitions. Repetitive reference imprints the formulas into the minds of students, thus easing out the memorisation process and also assists in quick retention of formulas during the exam. 

Electromagnetic Waves Class 12 Formula Sheet

Check Class 12 Physics Chapter 8 Electromagnetic Waves all formulas below and get to know what formulas have to be memorised by students from this chapter. All the numericals from this chapter will be based on the formulas provided here. 

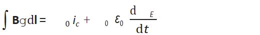
  • Ampere Maxwell Law

  • Gauss’s Law for Electricity

  • Gauss’s Law for Magnetism

  • Faraday’s Law

  • Displacement Current

  • Speed of Electromagnetic Wave in Vaccum

  • Relation Between Electric and Magentic Field

  • Speed of Electromagnetic Wave in Material Medium

Types of Electromagnetic Waves 

Check all types of electromagnetic waves here and get to know about them in detail. Their wavelength range often comes at use while solving the numericals and hence it is important for students to know their values during the examination. Though, there are chances of values being mentioned in the question itself, however, students must sit well-prepared from their end. 

Type Wavelength Range
Radio > 0.1m
Microwave

0.1m to 1 mm 

Infra-red

1mm to 700 nm

Light

700 nm to 400 nm

Ultraviolet

400 nm to 1nm

X-rays

1nm to 10–3  nm

Gamma Rays < 10–3  nm

To get access to formula sheets of other chapters of CBSE Class 12 Physics, check the link below. Formula sheets of all the chapters from both the volumes have been provided here. 

Also Find: 

Physics Class 12 Formulas (All Chapters)

Tanisha Agarwal
Tanisha Agarwal

Junior Content Writer

Hi! I am Tanisha Agarwal, a journalism and mass communication graduate from Times School of Media, Bennett University. With my first job as a content writer in Jagran New media, I look forward to creating powerful content and exploring every opportunity that lies on my way. I believe that words have the capability of moving rocks and I wish to do the same.
... Read More

Get here latest School, CBSE and Govt Jobs notification and articles in English and Hindi for Sarkari Naukari, Sarkari Result and Exam Preparation. Empower your learning journey with Jagran Josh App - Your trusted guide for exams, career, and knowledge! Download Now

Trending

Latest Education News