Maxwell’s Equation: Definition, Laws, Explanation And Formulas!

Jun 6, 2024, 18:21 IST

Maxwell’s Equations: In this article, you will be able to learn about Maxwell’s equations easily. Also, learn about the definition, laws and formulas. 

 Maxwell’s Equation: Definition, Laws, Explanation And Formulas!
Maxwell’s Equation: Definition, Laws, Explanation And Formulas!

Maxwell’s Equation Definition, Laws And Applications: Maxwell’s equations are a set of fundamental principles that form the foundation of classic electromagnetism. 

They describe how electric and magnetic fields are generated by electric charges, currents and changes in the fields. 

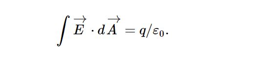
1. Gauss's Law for Electricity

Maxwell’s equation is based on the first law of electrostatic, which states that ‘when a closed surface integral of electric flux is always equal to charge enclosed over that surface. 

Importance of Gauss's Law for Electricity

This law establishes a direct connection between the total electric charge enclosed by the closed surface and the electric flux that passes through that surface. 

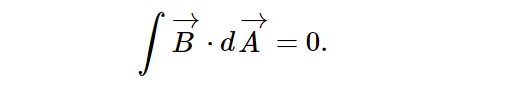
 2. Gauss’s Law For Magnetism Or Corresponding Formula For Magnetic Fields

Gauss's law for magnetism states that the magnetic flux B across any closed surface is zero.

Importance Of Gauss’s Law Of Magnetism

This law reflects the symmetry and continuity of magnetic fields. It provides a deep conceptual understanding of the magnetic fields. 

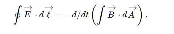
3. Faraday’s Law Of Magnetic Induction 

Faraday’s law of magnetic induction, often known as Faraday’s law describes how changing magnetic fields can induce an electromotive force in a closed-loop conductor.  

Importance Of Faraday’s Law

This law provided a crucial link by demonstrating how electric currents generate magnetic fields. Ampere’s law allows us to calculate the magnetic field generated by various current configurations. 

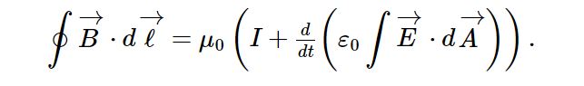
4. Ampere’s Law 

Maxwell’s fourth equation, also known as Ampere’s Law describes the relationship between magnetic fields, electric current and changes in electric fields. 

The law states that a magnetic field can be produced not only by an electric current but also by a changing electric field. 

Importance Of Maxwell’s Fourth Law or Ampere’s Law

This law helped Maxwell to explain the propagation of electromagnetic waves such as light and radio waves. Maxwell’s fourth law shows how the changing electric field creates a magnetic field, which in turn creates a changing electric field, and so on, leading to a propagating wave.  

Students can easily learn the equation with the help of these notes. 

Also, check 

Refraction Of Light: Definition, Laws, Applications And FAQs

Newton’s Laws Of Motion: Definition, Formula, Applications And Examples

Akshita Jolly
Akshita Jolly

Content Writer

Akshita Jolly is a multimedia professional specialising in education, entertainment, fashion, health, and lifestyle news. Holding a degree in Journalism and Mass Communication, she has contributed to renowned media organisations, including the Press Trust of India. She currently serves as Executive – Editorial at Jagran New Media, where she writes, edits, and manages content for the School and News sections of the Jagran Josh (English) portal. She also creates engaging and informative videos for the Jagran Josh YouTube platform, helping to make educational content more accessible and dynamic. Her work has contributed to reaching over 10 million monthly users, reflecting both the impact and scale of her content. For inquiries, she can be reached at akshitajolly@jagrannewmedia.com.
... Read More

Get here latest School, CBSE and Govt Jobs notification and articles in English and Hindi for Sarkari Naukari, Sarkari Result and Exam Preparation. Empower your learning journey with Jagran Josh App - Your trusted guide for exams, career, and knowledge! Download Now

Trending

Latest Education News