CBSE Class 10 Science Compartment Exam 2025: Top 50 MCQs with Answers for Last-Minute Revision (July 17)

Jul 17, 2025, 17:05 IST

CBSE Class 10th Science Exam 2025: The CBSE class 10th Science Compartment exam is scheduled for 17th July, 2025. The important 50 MCQs are here. Students must solve all important MCQs to secure high marks in exam. This is a golden chance for the students to prove themselves and score well in the exam. 

CBSE Class 10th Science Compartment Exam MCQ's 2025
CBSE Class 10th Science Compartment Exam MCQ's 2025

Key Points

  • CBSE Class 10 Science Board Exam is on February 20, 2025.
  • Top 50 MCQs with answers cover all important topics.
  • MCQs aim to boost exam confidence for high scores.

CBSE Class 10th Science Exam: The CBSE Class 10 Science Compartment Board Exam 2025 is scheduled for tomorrow, July 17, 2025, and students are in the final phase of their preparation. To assist students with quick and effective last-minute revision, we have curated the Top 50 MCQs with Answers, covering all important topics from the CBSE Class 10 Science syllabus. These multiple-choice questions will help students strengthen their conceptual understanding and boost their confidence before appearing for the exam. Make sure to solve these MCQs and check the solutions to ensure you are well-prepared to score high in the CBSE Class 10 Science Exam 2025.

These MCQ's are the last-minute life saviour for students preparing for the exam a day before. They should read them thoroughly and also check the answers for better revision. With this, students who were not able to clear the previous exam can score well in this to get promoted to the next class

Also Check|

CBSE Class 10 Science Paper: Key Highlights

Particulars

Details

Exam Conducting Body

Central Board of Secondary Education (CBSE)

Subject

Science

Mode of Exam

Offline

Exam Duration

3 Hours

Medium of Exam

English / Hindi

Type of Questions

MCQs, Short and Long Answer Type Questions

Theory Marks

80

Internal Assessment

20

Total Marks

100

Passing Marks

33% in aggregate

Also, check

COMPLETE CBSE Class 10th Science Study Material 2025

CBSE Class 10th Science Exam Top 50 MCQs with Answers

1. What type of reaction is represented by the following equation? 2Mg + O2 → 2MgO
a) Combination Reaction
b) Decomposition Reaction
c) Displacement Reaction
d) Redox Reaction

Answer: Combination Reaction 

2. Which of the following is an example of a double displacement reaction?

a) NaCl + AgNO3 → AgCl + NaNO3
b) 2H2 + O2 → 2H2O
c) Zn + HCl → ZnCl2 + H2
d) CaCO3 → CaO + CO2

Answer: NaCl + AgNO₃ → AgCl + NaNO₃ 

3. What is the pH of pure water?

a) 5
b) 7
c) 9
d) 11

Answer: 7 (b) (pH of pure water)

4. Which of the following is a strong acid?

a) Acetic acid
b) Citric acid
c) Hydrochloric acid
d) Carbonic acid

Answer: Hydrochloric acid

5. Which metal is the best conductor of electricity?

a) Iron
b) Copper
c) Silver
d) Aluminium

Answer: Silver (c) (Best conductor of electricity)

6. The emission of brown fumes in the given experimental setup is due to


(a) the thermal decomposition of lead nitrate which produces brown fumes of nitrogen dioxide.
(b) thermal decomposition of lead nitrate which produces brown fumes of lead oxide.
(c) oxidation of lead nitrate forming lead oxide and nitrogen dioxide.
(d) oxidation of lead nitrate forming lead oxide and oxygen.

Answer: (a) the thermal decomposition of lead nitrate which produces brown fumes of nitrogen dioxide.

7. The general formula of alkane is:

a) CnH2n
b) CnH2n+2
c) CnH2n-2
d) CnH2n+1

Answer: CₙH₂ₙ₊₂ (b) (General formula of alkane)

8. The functional group present in aldehyde is: 

a) -OH
b) -COOH
c) -CHO
d) -CO

Answer: -CHO (c) (Functional group of aldehyde)

9. Which part of the plant is responsible for photosynthesis?

a) Root
b) Stem
c) Leaf
d) Flower

Answer: Leaf (c) (Responsible for photosynthesis)

10. In human digestion, which enzyme breaks down starch?

a) Pepsin
b) Trypsin
c) Amylase
d) Lipase

Answer: Amylase (c) (Breaks down starch)

11. Which hormone regulates blood sugar levels?

a) Thyroxine
b) Insulin
c) Adrenaline
d) Estrogen

Answer: Insulin (b) (Regulates blood sugar levels)

12. What is the functional unit of the nervous system?

a) Nephron
b) Neuron
c) Alveoli
d) Axon

Answer: Neuron (b) (Functional unit of the nervous system)

13. What is the mode of reproduction in bacteria?

a) Budding
b) Binary fission
c) Fragmentation
d) Sporulation

Answer: Binary fission (b) (Mode of reproduction in bacteria)

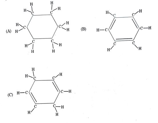
14. Consider the structures of the three cyclic carbon compounds A, B, and C given below and select the correct option from the following:

(Diagrams of compounds A, B, and C as shown in the image)

Options:

(a) A and C are isomers of hexane and B is benzene.

(b) A is an isomer of hexane, B is benzene and C is an isomer of hexene.

(c) A is a saturated cyclic hydrocarbon and B and C are unsaturated cyclic hydrocarbons.

(d) A is cyclohexane and B and C are the isomers of benzene.

Answer: (c) A is a saturated cyclic hydrocarbon and B and C are unsaturated cyclic hydrocarbons.

15. The scientist who proposed the laws of inheritance is:

a) Darwin
b) Lamarck
c) Mendel
d) Pasteur

Answer: Mendel (c) (Proposed laws of inheritance)

16. What is the unit of inheritance?

a) DNA
b) Gene
c) Chromosome
d) Nucleus

Answer: Gene (b) (Unit of inheritance)

17. The focal length of a convex lens is:

a) Positive
b) Negative
c) Zero
d) Infinity

Answer: Positive (a) (Focal length of a convex lens)

18. The mirror used in car side mirrors is:

a) Plane mirror
b) Concave mirror
c) Convex mirror
d) Cylindrical mirror

Answer: Convex mirror (c) (Used in car side mirrors)

19. What is the cause of dispersion of light?

a) Reflection
b) Refraction
c) Scattering
d) Diffraction

Answer: Refraction (b) (Cause of dispersion of light)

20. The part of the human eye that controls the amount of light entering is:

a) Retina
b) Lens
c) Iris
d) Optic nerve

Answer: Iris (c) (Controls the amount of light entering the eye)

21. What type of reaction occurs when iron reacts with oxygen to form rust?

a) Combination Reaction
b) Decomposition Reaction
c) Displacement Reaction
d) Redox Reaction
Answer: a) Combination Reaction

22. Which of the following is an example of a displacement reaction?

a) Zn + CuSO4 → ZnSO4 + Cu
b) 2Mg + O2 → 2MgO
c) CaCO3 → CaO + CO2
d) NaOH + HCl → NaCl + H2O
Answer: a) Zn + CuSO4 → ZnSO4 + Cu

23. The process of breaking down a compound into simpler substances using heat is called:

a) Combination Reaction
b) Displacement Reaction
c) Decomposition Reaction
d) Neutralization Reaction
Answer: c) Decomposition Reaction

24. What is the pH of a neutral solution?

a) 1
b) 7
c) 14
d) 0
Answer: b) 7

25. Which gas is released when an acid reacts with a metal?

a) Oxygen
b) Nitrogen
c) Hydrogen
d) Carbon dioxide
Answer: c) Hydrogen

26. Which of the following acids is present in vinegar?

a) Hydrochloric acid
b) Acetic acid
c) Nitric acid
d) Sulfuric acid
Answer: b) Acetic acid

27. Which non-metal is a good conductor of electricity?

a) Sulfur
b) Phosphorus
c) Graphite
d) Iodine
Answer: c) Graphite

28. The metal that does not react with dilute hydrochloric acid is:

a) Zinc
b) Copper
c) Magnesium
d) Iron
Answer: b) Copper

29. Which process is used for the prevention of rusting?

a) Galvanization
b) Fermentation
c) Sublimation
d) Filtration
Answer: a) Galvanization

30. What is the molecular formula of methane?

a) CH3
b) CH4
c) C2H6
d) C3H8
Answer: b) CH4

31. The functional group present in alcohols is:

a) -OH
b) -COOH
c) -CHO
d) -COO-
Answer: a) -OH

32. The process of converting vegetable oil into solid fat is called:

a) Hydrogenation
b) Saponification
c) Fermentation
d) Hydrolysis
Answer: a) Hydrogenation

33. Which organelle is known as the powerhouse of the cell?

a) Nucleus
b) Mitochondria
c) Ribosome
d) Golgi apparatus
Answer: b) Mitochondria

34. The site of photosynthesis in plant cells is:

a) Mitochondria
b) Chloroplast
c) Ribosome
d) Nucleus
Answer: b) Chloroplast

35. What is the main excretory product in humans?

a) Ammonia
b) Urea
c) Uric acid
d) Carbon dioxide
Answer: b) Urea

36. The hormone responsible for growth in plants is:

a) Cytokinin
b) Auxin
c) Gibberellin
d) Abscisic acid
Answer: b) Auxin

37. Which part of the brain controls voluntary actions?

a) Medulla
b) Cerebellum
c) Cerebrum
d) Hypothalamus
Answer: c) Cerebrum

38. Reflex actions are controlled by:

a) Brain
b) Spinal cord
c) Heart
d) Lungs
Answer: b) Spinal cord

38. The mode of reproduction in amoeba is:

a) Budding
b) Binary fission
c) Fragmentation
d) Vegetative propagation
Answer: b) Binary fission

39. Which hormone controls the menstrual cycle in females?

a) Testosterone
b) Estrogen
c) Insulin
d) Thyroxine
Answer: b) Estrogen

40. Who is known as the father of genetics?

a) Charles Darwin
b) Gregor Mendel
c) Louis Pasteur
d) Watson and Crick
Answer: b) Gregor Mendel

41. Which of the following is an example of a dominant trait in humans?

a) Blue eyes
b) Attached earlobes
c) Curly hair
d) Straight hair
Answer: c) Curly hair

42. The mirror used in headlights of vehicles is:

a) Concave mirror
b) Convex mirror
c) Plane mirror
d) Cylindrical mirror
Answer: a) Concave mirror

43. Which lens is used to correct myopia?

a) Convex lens
b) Concave lens
c) Bifocal lens
d) Cylindrical lens
Answer: b) Concave lens

44. The unit of refractive index is:

a) No unit
b) Meter
c) Hertz
d) Joule
Answer: a) No unit

45.  The resultant magnetic field at point 'P' situated midway between two parallel wires (placed horizontally) each carrying a steady current I is

(a) in the same direction as the current in the wires.

(b) in the vertically upward direction.

(c) zero

(d) in the vertically downward direction.

46. Consider the following statements:
(i) The sex of a child is determined by what it inherits from the mother.
(ii) The sex of a child is determined by what it inherits from the father.
(iii) The probability of having a male child is more than that of a female child.
(iv) The sex of a child is determined at the time of fertilisation when male and female gametes fuse to form a zygote.

The correct statements are:
(a) (i) and (iii)
(b) (ii) and (iv)
(c) (iii) and (iv)
(d) (i), (iii) and (iv)

Answer: (b) (ii) and (iv)

47. Which one of the following organs is NOT a part of the human female reproductive system?
(a) Ovary
(b) Uterus
(c) Vas deferens
(d) Fallopian tube

Answer: (c) Vas deferens

48. In which of the following organisms, multiple fission is a means of asexual reproduction?
(a) Yeast
(b) Leishmania
(c) Paramoecium
(d) Plasmodium

Answer: (d) Plasmodium

49. In bifocal lenses used for the correction of presbyopia:
(a) the upper portion is of convex lens for near vision and the lower part is a concave lens for distant vision.
(b) the upper portion is of convex lens for distant vision and the lower part is a concave lens for near vision.
(c) the upper portion is a concave lens for near vision and the lower part is of convex lens for distant vision.
(d) the upper portion is of the concave lens for the distant vision and the lower part is of the convex lens for the near vision.

Answer: (d) The upper portion is a concave lens for distant vision and the lower part is a convex lens for near vision

50. Identify the food chain in which the organisms of the second trophic level are missing:
(a) Grass, goat, lion
(b) Zooplankton, Phytoplankton, small fish, large fish
(c) Tiger, grass, snake, frog
(d) Grasshopper, grass, snake, frog, eagle
(e) Tiger, grass, snake, frog

Answer: (c) Tiger, grass, snake, frog

CBSE Class 10th Science Exam Important MCQ's Answer Key FREE PDF Download

Other Related Links

 




Akshita Jolly
Akshita Jolly

Content Writer

Akshita Jolly is a multimedia professional specialising in education, entertainment, fashion, health, and lifestyle news. Holding a degree in Journalism and Mass Communication, she has contributed to renowned media organisations, including the Press Trust of India. She currently serves as Executive – Editorial at Jagran New Media, where she writes, edits, and manages content for the School and News sections of the Jagran Josh (English) portal. She also creates engaging and informative videos for the Jagran Josh YouTube platform, helping to make educational content more accessible and dynamic. Her work has contributed to reaching over 10 million monthly users, reflecting both the impact and scale of her content. For inquiries, she can be reached at akshitajolly@jagrannewmedia.com.
... Read More

FAQs

  • +

Get here latest School, CBSE and Govt Jobs notification and articles in English and Hindi for Sarkari Naukari, Sarkari Result and Exam Preparation. Empower your learning journey with Jagran Josh App - Your trusted guide for exams, career, and knowledge! Download Now

Trending

Latest Education News