RPSC RAS Answer Key 2023: राजस्थान लोक सेवा आयोग ने आरएएस परीक्षा 2023 की उत्तर कुंजी जारी कर दी हैI ये उत्तर कुंजी ऑफिसियल वेबसाइट पर जारी की गई हैI उम्मीदवार उत्तर कुंजी पर 4 अक्टूबर तक अपनी आपत्ति दर्ज करवा सकते हैंI आपत्ति दर्ज करवाने के लिए उम्मीदवारों को 100 रु की राशि का भुगतान करना होगा I उम्मीदवार नीचे दिए गए डायरेक्ट लिंक के जरिये उत्तर कुंजी डाउनलोड कर सकते हैं I
आरपीएससी आरएएस ऑफिसियल उत्तर कुंजी 2023
आरपीएससी आरएएस परीक्षा 2023 की आधिकारिक उत्तर कुंजी आयोग द्वारा अपनी वेबसाइट यानी rpsc.gov.in पर जारी की गई है। उत्तर पीडीएफ प्रारूप में जारी किया गया है। उत्तर कुंजी सभी सेटों के लिए उपलब्ध है। उम्मीदवार वेबसाइट से उत्तर कुंजी डाउनलोड कर सकते हैं और अपने उत्तरों की तुलना आधिकारिक उत्तरों से कर सकते हैं।
| RPSC RAS Answer Key 2023 | यहाँ क्लिक करें |
आरपीएससी आरएएस उत्तर कुंजी 2023 कैसे डाउनलोड करें ?
उम्मीदवार आधिकारिक उत्तर कुंजी जारी होने के बाद, नीचे दिए गए चरणों पर विचार करते हुए आयोग की आधिकारिक वेबसाइट से डाउनलोड कर सकते हैं:
चरण 1: राजस्थान पीएससी की आधिकारिक वेबसाइट यानी rpsc.rajasthan.gov.in पर जाएं।
चरण 2: '01/09/2023 - राज के लिए मॉडल उत्तर कुंजी' लिंक पर क्लिक करें। राज्य और उप. सेवाएँ कंघी. कॉम्प परीक्षा - 2023' मुखपृष्ठ के 'समाचार अनुभाग' में दिया गया है।
चरण 3: आपकी स्क्रीन पर एक पीडीएफ फाइल खुल जाएगी
चरण 4: आरपीएससी आरएएस उत्तर कुंजी पीडीएफ डाउनलोड करें।
चरण 5: उत्तर कुंजी चेक करें
चरण 6: यदि कोई हो तो आपत्तियां दर्ज करें
| सेट | प्रश्न पत्र |
| आरपीएससी आरएएस प्रश्न पत्र 2023 | |
| आरपीएससी आरएएस प्रश्न पत्र 2023 |
RPSC RAS Answer Key 2023 By Jagran Josh
- निम्नलिखित में से कौन सी एक स्वापक पीड़ाहारी (नारकोटिक ऐनेलजेसिक) औषध है ?
(1) आसफनेमीन
(2 ) पैरासिटामॉल
(3) मॉर्फीन
(4) ऐस्पिरिन
(5) अनुत्तरित प्रश्न
उत्तर- मॉर्फीन
- निकट दृष्टि दोष (मायोपिया) एवं दूर दृष्टि दोष (हाइपर मेट्रोपिया) को ठीक किया जा सकता क्रमशः
(1) उत्तल एवं अवतल लेंस द्वारा
(2) समतल – अवतल एवं बेलनीय लेंस द्वारा
(3) अवतल एवं बेलनीय लेंस द्वारा
(4) अवतल एवं उत्तल लेंस द्वारा
(5) अनुत्तरित प्रश्न
उत्तर - अवतल एवं उत्तल लेंस द्वारा
- निम्नलिखित में से कौन सी योजना ग्रामीण क्षेत्रों को सामाजिक, आर्थिक और भौतिक रूप से टिकाऊ क्षेत्र बनाने का प्रयास है ?
(1) महात्मा गांधी जन-भागीदारी विकास योजना (एम. जी. जे. वी. वाय.)
(2) श्यामा प्रसाद मुखर्जी रूर्बन मिशन (एस.पी.एम.आर.एम.)
(3) सांसद आदर्श ग्राम योजना (एस. ए. जी.वाय.)
(4) डांग क्षेत्र विकास कार्यक्रम
(5) अनुत्तरित प्रश्न
उत्तर -
- निम्न में से किस योजना का मुख्य उद्देश्य गर्भवती एवं धात्री महिलाओं तथा उनके नन्हें शिशुओं (0 से 6 माह्) के स्वास्थ्य एवं पोषण की स्थिति में सुधार करने के लिये गर्भावस्था, सुरक्षित प्रसव और स्तनपान की अवधि के दौरान उपयुक्त पद्धतियों, देख-रेख एवं सेवाओं के उपयोग को बढ़ावा देना है ?
(1) इन्दिरा गांधी मातृत्व पोषण योजना
(2) प्रधानमंत्री मातृ वंदना योजना
(3) पालनहार योजना
(4) मिशन वात्सल्य योजना
(5) अनुत्तरित प्रश्न
उत्तर - प्रधानमंत्री मातृ वंदना योजना
- निम्नांकित में से कौन सा विकल्प (इंदिरा महिला) शक्ति उड़ान योजना का एक प्रमुख उद्देश्य बताता है ?
(1) मासिक धर्म स्वास्थ्य एवं स्वच्छता प्रबन्धन के बारे में जागरूकता पैदा करना ।
(2) महिला स्वयं सहायता समूहों को सशक्त बनाना ।
(3) बालिकाओं की शिक्षा की स्थिति में सुधार ।
(4) महिलाओं को व्यावसायिक प्रशिक्षण देना ।
(5) अनुत्तरित प्रश्न
उत्तर -*
- श्रीहरीकोटा से अप्रैल 23 में उपग्रह टेलिओस 2 (TeLEOS-2) तथा ल्युमलाइट 4 (Lumelite – 4) को प्रमोचित जिस लॉन्चर से किया गया, वह है :
(1) LVM3 – M4 (एल. वी. एम. 3 – एम 4)
(2) SSLV – D2 (एस.एस.एल.वी.-डी
(3) GSLV- F12 (जी. एस. एल. बी. – एफ
(4) PSLV C55 (पी.एस.एल.वी.-सी 55)
(5) अनुत्तरित प्रश्न
उत्तर -PSLV C55 (पी.एस.एल.वी.-सी 55)
- यदि किसी पदार्थ की एक विमा को नैनो रेंज तक घटा दिया गया हो जबकि अन्य दो विमाएँ वही बनी रहती हैं, तो प्राप्त संरचना कहलाती है :
(1) क्वांटम वैल
(2) क्वांटम स्टेप
(3) क्वांटम वायर
(4) क्वांटम डॉट
(5) अनुत्तरित प्रश्न
उत्तर - क्वांटम वैल
- निम्नलिखित में से कौन सा फाइल प्रारूप, वीडियो फाइल प्रारूप नहीं है ?
(1) .MP4
(2) .MP3
(3) .AVI
(4) .MOV
(5) अनुत्तरित प्रश्न
उत्तर - .MP3
- डिजिटल जानकारी के लिए माप की निम्नलिखित इकाइयों को सही क्रम में व्यवस्थित करें, सबसे पहले सबसे छोटी इकाई से शुरू करके सबसे बड़ी इकाई तक जाएँ :
a. किलोबाइट b. बाइट
c. मेगाबाइट d. टेराबाइट
e. गीगाबाइट f. बिट
(1) f b a c e d
(2) b f a d c e
(3) b f a c d e
(4) f b a d e c
(5) अनुत्तरित प्रश्न
उत्तर -f b a c e d
- 23 अगस्त, 2023 के LCA (हल्के लड़ाकू विमान) तेजस से ASTRA (अस्त्रा) मिसाइल को सफलतापूर्वक परीक्षण किया गया यह मिसाइल है
(1) दृश्य सीमा से परे (बियॉन्ड् विजुअल रेंज) हवा से हवा में मार करने वाली मिसाइल (2) दृश्य सीमा से परे सतह से हवा में मार करने वाली मिसाइल
(3) दृश्य सीमा के भीतर सतह से हवा में मार करने वाली मिसाइल
(4) दृश्य सीमा के भीतर (विथईन विजुअल रेंज) हवा से हवा में मार करने वाली मिसाइल
(5) अनुत्तरित प्रश्न
उत्तर -दृश्य सीमा से परे (बियॉन्ड् विजुअल रेंज) हवा से हवा में मार करने वाली मिसाइल (2) दृश्य सीमा से परे सतह से हवा में मार करने वाली मिसाइल
- निम्न रोगों में से कौन सा रोग जीवाण्वीय रोग नहीं है ?
(1) प्लेग
(2) डिफ्थीरिया
(3) डेंगू
(4) न्युमोनिया
(5) अनुत्तरित प्रश्न
उत्तर -डेंगू
- प्लास्मोडियम की प्रजाति जो घातक मलेरिया का कारण बनती है :
(1) फाल्सीपेरम
(2) विवैक्स
(3) मैलेरियेल
(4) ओवेल
(5) अनुत्तरित प्रश्न
उत्तर -फाल्सीपेरम
- एन. टी. यू. (NTU) मापने की इकाई है
(1) जल का तापमान
(2) पानी का दाब
(3) जल की आविलता (टर्बिडिटी)
(4) जल की अम्लता
(5) अनुत्तरित प्रश्न
उत्तर - जल की आविलता (टर्बिडिटी)
- निम्नलिखित में से कौन प्रदूषित जगह में नहीं उगता है ?
(1) शैवाल
(2) स्यूडोमोनास
(3) जिम्नोस्पर्म
(4) लाइकेन
(5) अनुत्तरित प्रश्न
उत्तर -लाइकेन
- राजीव गांधी जैव-प्रौद्योगिकी केन्द्र कहाँ स्थित है ?
(1) फरीदाबाद
(2) तिरूवनंतपुरम
(3) नई दिल्ली
(4) जोधपुर
(5) अनुत्तरित प्रश्न
उत्तर - तिरूवनंतपुरम - प्रोटीन के सन्दर्भ में गलत कथन चुनिए गलत कथन चुनिए
(1) प्रोटीन ऐमीनो अम्ल से बने होते हैं।
(2) हम प्रोटीन जन्तु तथा पादप दोनों स्रोतों से प्राप्त करते हैं।
(3) प्रोटीन हमारे शरीर के रचक खंड (बिल्डिंग ब्लॉक) कहलाते हैं।
(4) हमारे शरीर के वजन का लगभग 30 प्रतिशत हिस्सा प्रोटीन का होता है ।
(5) अनुत्तरित प्रश्न
उत्तर - हमारे शरीर के वजन का लगभग 30 प्रतिशत हिस्सा प्रोटीन का होता है ।
- ब्लड ग्रुप ( रक्त समूह) ‘O’ वाले व्यक्ति की लाल रक्त कोशिकाओं में निहित समूहजन (एग्लूटीनोजन) है :
(1) केवल B (बी)
(2) A (ए) तथा B (बी) दोनों
(3) केवल A (ए)
(4) न तो A (ए) न ही B (बी)
(5) अनुत्तरित प्रश्न
उत्तर - न तो A (ए) न ही B (बी)
- इनमें से कौन सा समूह मिलेट्स (श्रीअन्न) फसलों का है ?
(1) रागी, बाजरा, कोदो, मूँग
(2) बाजरा, मक्का, कोदो, ज्वार
(3) ज्वार, कोदो, कांगनी, रागी
(4) कोदो, बाजरा, मक्का, कांगनी
(5) अनुत्तरित प्रश्न
उत्तर -ज्वार, कोदो, कांगनी, रागी
- निम्न में से किस कंपनी की स्थापना राजस्थान सरकार द्वारा 21वीं शताब्दी में सूचना प्रौद्योगिकी (IT) कौशल को विकसित करने के उद्देश्य से की गई है ?
(1) राजस्थान टेक्नॉलॉजी प्राइवेट लिमिटेड
(2) राजस्थान नोलेज कम्पनी लिमिटेड
(3) राजस्थान टेक्नॉलॉजी कॉर्पोरेशन लिमिटेड
(4) राजस्थान नोलेज कॉर्पोरेशन लिमिटेड
(5) अनुत्तरित प्रश्न
उत्तर -राजस्थान नोलेज कॉर्पोरेशन लिमिटेड
- राजस्थान विधानसभा द्वारा 2023 में पारित एक विधेयक द्वारा दूसरा राजस्थान पशु चिकित्सा और पशु विज्ञान विश्वविद्यालय कहाँ स्थापित किया जाएगा ?
(1) जोबनेर में
(2) गंगानगर में
(3) जोधपुर में
(4) अजमेर में
(5) अनुत्तरित प्रश्न
उत्तर - जोबनेर में
- इनमें से कौन सा प्राकृतिक संसाधन गैर- नवीकरणीय संसाधन माना जाता है ?
(1) जीवाश्म ईंधन
(3) पवन ऊर्जा
(2) इमारती लकड़ी (टिम्बर)
(4) सौर ऊर्जा
(5) अनुत्तरित प्रश्न
उत्तर -जीवाश्म ईंधन
- पृथ्वी के वायुमंडल में मौजूद कुल ऑक्सीजन का अमेज़न वन में प्रकाश संश्लेषण के द्वारा अनुमानित उत्पादन है
(1) 50 प्रतिशत
(2) 40 प्रतिशत
(3) 20 प्रतिशत
(4) 70 प्रतिशत
(5) अनुत्तरित प्रश्न
उत्तर - 20 प्रतिशत
- राष्ट्रीय उष्ट्र अनुसंधान केन्द्र स्थित है :
(1) अविकानगर
(2) जोधपुर
(3) अजमेर
(4) बीकानेर
(5) अनुत्तरित प्रश्न
उत्तर -बीकानेर
- एक कथन के पश्चात् दो तर्क I तथा II दिये गये हैं। कौन सा / से तर्क अधिक मजबूत है/हैं, चुनिये :
कथन: क्या ट्रेनों में सभी डीजल इंजनों को विद्युत इंजनों से बदल देना चाहिये ?
तर्क :
I. हाँ, डीजल इंजन के कारण बहुत प्रदूषण होता है।
II. नहीं, भारत घरेलू आवश्यकता को पूरी करने के लिये भी पर्याप्त बिजली का उत्पादन नहीं करता ।
(1) दोनों तर्क मजबूत हैं ।
(2) न तो तर्क I और ना ही तर्क II मजबूत है ।
(3) केवल तर्क I मजबूत है ।
(4) केवल तर्क II मजबूत है ।
(5) अनुत्तरित प्रश्न है।
उत्तर -केवल तर्क I मजबूत है ।
25. एक कथन के पश्चात् दो पूर्वधारणायें I और II दी गई हैं। कथन और उसके पश्चात् दी गई पूर्वधारणाओं के आधार पर निर्णय कीजिए कि कौन सी पूर्वधारणा/यें कथन में अंतर्निहित है/हैं:
कथन : यदि इस पूरे माह में वर्षा नहीं हुई, तो इस वर्ष अधिकांश किसान संकट में पड़ जायेंगे ।
पूर्वधारणायें : I. खेती के लिए समय पर वर्षा आवश्यक है ।
- आमतौर पर ज्यादातर किसान बारिश पर निर्भर रहते हैं ।
(1) दोनों पूर्वधारणायें अंतर्निहित हैं।
(2) न तो पूर्वधारणा I और ना ही पूर्वधारणा II अंतर्निहित है ।
(3) केवल पूर्वधारणा I अंतर्निहित है।
(4) केवल पूर्वधारणा II अंतर्निहित है।
(5) अनुत्तरित प्रश्न
उत्तर - दोनों पूर्वधारणायें अंतर्निहित हैं।
- दिये गये कथन का अध्ययन कीजिये फिर निश्चित कीजिये कि तार्किक रूप से कौन सी सुझाई गई कार्यवाही / कार्यवाहियाँ अनुसरण करती है/हैं ?
कथन: मौसम विभाग ने अगले वर्ष के मानसून के दौरान कम वर्षा का अनुमान लगाते हुये एक अधिसूचना जारी की है ।
कार्यवाहियाँ:
I. सरकार को प्रभावित क्षेत्रों में जल उपलब्ध कराने के लिये प्रबंध करना चाहिये ।
II. संभावना को देखते हुये किसानों को तैयार रहने के लिये सलाह देनी चाहिये ।
(1) I तथा II दोनों अनुसरण करती हैं ।
(2) न तो I और ना ही II अनुसरण करती है ।
(3) केवल I अनुसरण करती है ।
(4) केवल II अनुसरण करती है ।
(5) अनुत्तरित प्रश्न
उत्तर - I तथा II दोनों अनुसरण करती हैं ।
- एक कथन के पश्चात् दो निष्कर्ष I तथा II दिये गये हैं। आप कथन में दी गई प्रत्येक जानकारी को सत्य मानते हुए दोनों निष्कर्षो पर विचार करके निर्णय कीजिये कि इनमें से तार्किक रूप से कौन सा / कौन से निष्कर्ष अनुसरण करता है/ करते हैं :
कथन: पद ग्रहण करने के बाद, म्युनिसिपल आयुक्त ने नगर “A” के नागरिकों से कहा- “मेरा सर्वप्रथम एवं प्रमुख कार्य इस नगर को इन्दौर की तरह सुन्दर बनाना है ।”
निष्कर्ष :
I. नगर “A” के नागरिक अपने नगर की वर्तमान दशा के बारे में जागरूक नहीं हैं ।
II. आयुक्त इंदौर में कार्य कर चुके हैं और शहरों के सौंदर्यकरण में उनका अच्छा अनुभव है।
(1) दोनों निष्कर्ष अनुसरण करते हैं।
(2) न तो निष्कर्ष I और ना ही निष्कर्ष II अनुसरण करता है।
(3) केवल निष्कर्ष I अनुसरण करता है।
(4) केवल निष्कर्ष II अनुसरण करता है ।
(5) अनुत्तरित प्रश्न
उत्तर - न तो निष्कर्ष I और ना ही निष्कर्ष II अनुसरण करता है।
- एक परिवार में आठ सदस्य हैं। E, F और G की माता है। A, E का जँवाई है। C, G की पुत्री है। D, C के नाना है। D के एक पुत्र और एक पुत्री हैं। H, G की भाभी है। B, F की भानजी है। F, A से किस प्रकार सम्बन्धित है ?
(1) बहन
(2) भाभी / ननद
(3) भ्राता
(4) जीजा / साला
(5) अनुत्तरित प्रश्न
उत्तर -जीजा / साला
- पाँच लड़कियाँ एक मैदान में एक निश्चित दूरी पर खड़ी हुई हैं। रेखा और बीना एक-दूसरे से 18 मी. दूर हैं। वीना, रेखा और बीना के बीच में कहीं पर खड़ी है। पिंकी, रेखा से 5 मीटर उत्तर दिशा में खड़ी है। रेखा, वीना से 12 मीटर पश्चिम दिशा में है । यामिनी, बीना से 8 मीटर । दक्षिण दिशा की ओर खड़ी है। पिंकी और यामिनी में न्यूनतम दूरी क्या है ?
(1) 31 मीटर
(2) 33 मीटर
(3) 13 मीटर
(4) 23 मीटर
(5) अनुत्तरित प्रश्न
उत्तर -23 मीटर
- सात व्यक्ति P, Q, R, S, T, U और V एक पंक्ति में बैठे हुये हैं । T और U के मध्य एक व्यक्ति है। V, P के एकदम दायीं ओर है। Q, U के एकदम बायीं ओर है। S और P के मध्य एक व्यक्ति है । S, V का पड़ोसी नहीं है | V और U के मध्य दो व्यक्ति हैं। R, P के एकदम बायीं ओर है। कौन सा व्यक्ति पंक्ति के बिलकुल मध्य में बैठा हुआ है ?
(1) T
(2) Q
(3) V
(4) P
(5) अनुत्तरित प्रश्न
उत्तर -V
- निम्न अनुक्रम का अगला पद है :
A3/2 B2, C9/2 F18, E15/2 J50, G21/2 N98, ?
(1) H27/2 R182
(2) H29/2 S172
(3) I29/2 R172
(4) I27/2 R162
(5) अनुत्तरित प्रश्न
उत्तर - I27/2 R162
- एक निश्चित कूट भाषा में, ABONDONMENT को DNOBAOTNEMN लिखा जाता है और ESTABLISHED BATSELDEHSI लिखा जाता है, तो उसी कूट भाषा में GERMINATION को कैसे लिखा जायेगा ?
(1) GOERGONITAN
(2) NMEGRONTIAG
(3) IMREGNNOITA
(4) IMERGNONITA
(5) अनुत्तरित प्रश्न
उत्तर - IMREGNNOITA
- एक विद्यालय के तीन विद्यार्थी A, B और C एक प्रतिस्पर्धा में 3 : 4 : 5 के अनुपात में नगद पुरस्कार प्राप्त करते हैं। इसके बाद विद्यालय के प्राचार्य प्रत्येक विद्यार्थी को ₹4,000 देते हैं । परिणामस्वरूप अब A, B और C के नगद पुरस्कार का अनुपात 5 : 6 : 7 हो जाता है। B को प्रतिस्पर्धा में कितनी राशि मिली ?
(1) ₹ 10,000
(2) ₹ 12,000
(3) ₹ 6,000
(4) ₹ 8,000
(5) अनुत्तरित प्रश्न
उत्तर -(2) ₹ 12,000
- एक विद्यार्थी ने किसी संख्या को 5/3 के बजाय 3/5 से गुणा कर दिया । इस गणना में प्रतिशत त्रुटि क्या है ?
(1) 54%
(2) 64%
(3) 34%
(4) 44%
(5) अनुत्तरित प्रश्न
उत्तर -64%
- 400 लड़कों के एक समूह में हर लड़का क्रिकेट, हॉकी और फुटबॉल में से कम से कम एक खेल खेलता है। 185 क्रिकेट, 165 हॉकी और 160 फुटबॉल खेलते हैं। 40 लड़के केवल क्रिकेट और फुटबॉल खेलते हैं । 20 लड़के केवल हॉकी और क्रिकेट खेलते हैं। 10 लड़के केवल हॉकी और फुटबॉल खेलते हैं कितने लड़के सभी तीनों खेल खेलते हैं ?
(1) 18
(2) 20
(3) 10
(4) 15
(5) अनुत्तरित प्रश्न
उत्तर - 20
- एक दर्पण में बड़े अक्षरों वाली अंग्रेजी वर्णमाला के व्यंजनों के प्रतिबिम्बों का अवलोकन किया जाता है । इनमें से उन प्रतिबिम्बों की संख्या कितनी है जो अपनी मूल आकृति के समान दिखाई देते हैं ?
(1) 9
(3) 5
(2) 11
(4) 7
(5) अनुत्तरित प्रश्न
उत्तर - 7
- 64 छोटे घनों से एक ठोस घन बनाया गया है। कितने छोटे घन किसी भी परिस्थिति में नहीं दिखाई देंगे ?
(1) 6
(2) 8
(3) 2
(4) 4
(5) अनुत्तरित प्रश्न
उत्तर -8
- यदि निम्न बंटन की माध्यिका A और बहुलक B सम्बन्ध 7 (B – A) = 9C को संतुष्ट करते हैं, तो C का मान ज्ञात कीजिये :
| वर्ग : | 0-30 | 30-60 | 60-90 | 90-120 |
| आवृत्ति : | 4 | 5 | 7 | 4 |
(1) 8
(2) 9
(3) 6
(4) 7
(5) अनुत्तरित प्रश्न
उत्तर -6
- एक मूलधन का 2/3 भाग 10% प्रति वर्ष चक्रवृद्धि ब्याज की दर पर बैंक में जमा किया जाता है और शेष बचे मूलधन को 15% प्रति वर्ष सरल ब्याज की दर पर डाकघर में जमा किया जाता है । यदि चक्रवृद्धि ब्याज और सरल ब्याज में दो वर्षों के बाद अन्तर ₹ 480 हो, तो कुल मूलधन बराबर है।
(1) ₹ 12,000
(2) ₹ 16,000
(3) ₹ 8,000
(4) ₹ 10,000
(5) अनुत्तरित प्रश्न
उत्तर - ₹ 12,000
- यदि S एक वृत्त के अन्तर्निहित वर्ग के क्षेत्रफल को प्रदर्शित करता है और T इसी वृत्त के अन्तर्निहित समबाहु त्रिभुज के क्षेत्रफल को प्रदर्शित करता है, तो निम्नलिखित में से कौन सा सही है ?
(1) 3√3T = 4S
(2) 3√3T = 8s
(3) 8T = 3√3s
(4) 4T = 3√3s
(5) अनुत्तरित प्रश्न
उत्तर - 8T = 3√3s
- निम्न सारणी में चार बल्लेबाजों द्वारा एक टेस्ट मैच की दोनों पारियों में बनाये गये रनों को दर्शाया गया है। इस टेस्ट मैच में सबसे तेज रन बनाने वाला कौन है ?
| बल्लेबाज | प्रथम पारी | द्वितीय पारी | ||
| रन बनाये | गेंदे खेलीं | रन बनाये | गेंदे खेलीं | |
| P | 79 | 91 | 56 | 154 |
| Q | 05 | 12 | 50 | 85 |
| R | 14 | 76 | 61 | 99 |
| S | 37 | 50 | 13 | 55 |
(1) Q
(2) P
(3) S
(4) R
(5) अनुत्तरित प्रश्न
उत्तर -P
- राजस्थान में “आर्टिफिशियल इंटेलिजेंस ऑफ थिंग्स इनोवेशन हब” की स्थापना कहाँ की जाएगी ?
(1) बीकानेर
(2) कोटा
(3) जयपुर
(4) जोधपुर
(5) अनुत्तरित प्रश्न
उत्तर -जोधपुर
- राष्ट्रीय बाघ संरक्षण प्राधिकरण ने राजस्थान में पाँचवें बाघ अभयारण्य का दर्जा, निम्न में से किस अभयारण्य को प्रदान किया है ?
(1) हमीरगढ़ – भीलवाड़ा अभयारण्य
(2) सोरसन – बैनार्न अभयारण्य
(3) नागपहाड़ – अजमेर अभयारण्य
(4) धौलपुर करौली अभयारण्य
(5) अनुत्तरित प्रश्न –
उत्तर - धौलपुर करौली अभयारण्य
- हाल ही में भारत के पहले 3 डी प्रिंटेड डाकघर का उद्घाटन निम्न में से किस शहर में किया गया है ?
(1) कोलकाता
(2) बेंगलुरू
(3) मुम्बई
(4) नई दिल्ली
(5) अनुत्तरित प्रश्न
बेंगलुरू
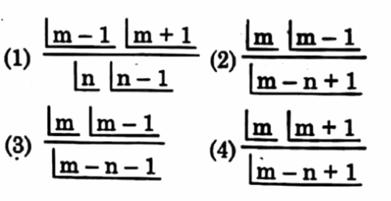
- m पुरुषों और n महिलाओं को एक पंक्ति में इस प्रकार बैठाना है कि कोई भी दो महिलाएँ एक साथ ना बैठें। यदि m > n, तो इन सभी के बैठने के तरीकों की संख्या है :
![]()
(5) अनुत्तरित प्रश्न
उत्तर - 4
- चार संख्याओं के गुणनफल की 5 अथवा 10 से विभाजित होने की प्रायिकता ज्ञात कीजिये ।
(5) अनुत्तरित प्रश्न
उत्तर -3
- राजस्थान के वन, पर्यावरण तथा जलवायु परिवर्तन विभाग द्वारा हाल ही में जारी की गई 1. एक अधिसूचना के अनुसार राज्य में कितने वेट-लैण्ड हैं ?
(1) 44
(2) 50
(3) 30
(4) 38
(5) अनुत्तरित प्रश्न
उत्तर -44
- संयुक्त राष्ट्र महासभा ने अपने 78वें सत्र के अध्यक्ष के रूप में सेवा देने के लिए हाल ही में डेनिस फ्रांसिस को चुना है । वह निम्न में से किस देश से हैं ?
(1) ब्राज़ील
(2) युगांडा
(3) त्रिनिडाड एवं टोबेगो
(4) चिली
(5) अनुत्तरित प्रश्न
उत्तर - त्रिनिडाड एवं टोबेगो
- जुलाई 2023 में सीकर, राजस्थान में भारत के प्रधानमंत्री ने यूरिया की एक नई किस्म को लॉन्च किया । यूरिया की इस नई किस्म का क्या नाम है ?
(1) यूरिया गोल्ड
(2) यूरिया सिल्वर
(3) यूरिया डायमंड
(4) यूरिया प्लैटिनम
(5) अनुत्तरित प्रश्न
उत्तर -यूरिया गोल्ड
- हाल ही में निम्न में से किस संस्था ने केंद्रीकृत वेब पोर्टल ‘UDGAM’ लॉन्च किया ?
(1) भारतीय राष्ट्रीय राजमार्ग प्राधिकरण
(2) विश्वविद्यालय अनुदान आयोग
(3) भारतीय रिज़र्व बैंक
(4) भारतीय अंतरिक्ष अनुसंधान संगठन
(5) अनुत्तरित प्रश्न
उत्तर -भारतीय रिज़र्व बैंक
- निम्नलिखित कथनों को ध्यानपूर्वक पढ़िये :
कथन 1 : टाइम पत्रिका के अनुसार, एस. एस. राजामौली को 2023 के शीर्ष “पायनियर्स” में नामित किया गया है और शाहरुख खान को 2023 के शीर्ष ” आइकन्स’ में नामित किया गया है ।
कथन 2 : टाइम पत्रिका की 100 सबसे प्रभावशाली लोगों की सूची को छः प्रमुख श्रेणियों में विभाजित किया गया है:
लीडर, टाइटन, पायनियर, आर्टिस्ट, आइकन और इनोवेटर ।
निम्नलिखित में से सही विकल्प का चयन कीजिए :
(1) कथन 1 और 2 दोनों असत्य हैं ।
(2) कथन 1 और 2 दोनों सत्य हैं ।
(3) केवल कथन 1 सत्य है ।
(4) केवल कथन 2 सत्य है ।
(5) अनुत्तरित प्रश्न
उत्तर -कथन 1 और 2 दोनों सत्य हैं
- भारत के पहले खुले संग्रहालय ‘शहीदी पार्क’ का हाल ही में किस शहर में उद्घाटन किया गया है ?
(1) प्रयागराज
(2) श्रीनगर
(3) चंडीगढ
(4) दिल्ली
(5) अनुत्तरित प्रश्न
उत्तर -दिल्ली
- हाल ही में इक्वाडोरवासियों ने अमेज़न के निम्न में से किस जैव-विविधता वाले क्षेत्र में जनमत संग्रह द्वारा तेल की ड्रिलिंग को अस्वीकार कर एक ऐतिहासिक निर्णय लिया है ?
(1) जाउ राष्ट्रीय उद्यान
(2) मनु राष्ट्रीय उद्यान
(3) तुमुकुमाके राष्ट्रीय उद्यान
(4) यासुनी राष्ट्रीय उद्यान
(5) अनुत्तरित प्रश्न
उत्तर - यासुनी राष्ट्रीय उद्यान
- ‘मेरा गाँव मेरी धरोहर’ किस मंत्रालय से सम्बंधित है ?
(1) केंद्रीय संस्कृति मंत्रालय
(2) केंद्रीय ग्रामीण विकास मंत्रालय
(3) केंद्रीय रक्षा मंत्रालय
(4) केंद्रीय विज्ञान एवं प्रौद्योगिकी मंत्रालय
(5) अनुत्तरित प्रश्न
उत्तर -केंद्रीय संस्कृति मंत्रालय
- राष्ट्रमण्डल संसदीय संघ का भारत क्षेत्र का 9वाँ सम्मेलन निम्न में से किस शहर में आयोजित किया गया था ?.
(1) उदयपुर
(2) कोटा
(3) जयपुर
(4) जोधपुर स
(5) अनुत्तरित प्रश्न
उत्तर -उदयपुर
- आर्टिफिशियल इंटेलिजेंस के व्यावहारिक उपयोगों की पहचान के लिए “ए आई फॉर गुड़ ग्लोबल समिट 2023″ हाल ही में किस देश में आयोजित हुई ?
(1) जापान
(2) स्विट्ज़रलैंड
(3) संयुक्त राष्ट्र अमेरिका
(4) चीन
(5) अनुत्तरित प्रश्न
उत्तर - स्विट्ज़रलैंड
- निम्नलिखित में से किस व्यक्तित्व को राजस्थानी भाषा के साहित्य अकादमी युवा पुरस्कार 2023 के लिए नामित किया गया है ?
(1) डॉ. रामकुमार घोटड़
(2) देवीलाल महिया
(3) अतुल चतुर्वेदी
(4) बद्री नारायण
(5) अनुत्तरित प्रश्न
उत्तर -देवीलाल महिया
- राजेश्वरी कुमारी, जिन्होंने बाकू, अज़रबैजान में आयोजित विश्व चैंपियनशीप में पाँचवाँ स्थान प्राप्त कर पेरिस ओलंपिक हेतु पात्रता प्राप्त की है, का संबंध किस खेल से है ?
(1) तीरंदाजी
(2) निशानेबाजी
(3) जिम्नास्टिक
(4) लम्बी कूद
(5) अनुत्तरित प्रश्न
उत्तर -निशानेबाजी
- भारत के कमलजीत ने 24 जुलाई, 2023 को ISSF जूनियर शूटिंग वर्ल्ड चैंपियनशिप 2023 में पुरुषों की व्यक्तिगत 50 मीटर पिस्टल स्पर्धा में स्वर्ण पदक जीता। ये स्पर्धा निम्न में से किस देश में आयोजित की गई थी ?
(1) नेपाल
(2) फ्रांस
(3) दक्षिण कोरिया
(4) कनाडा
(5) अनुत्तरित प्रश्न
उत्तर - दक्षिण कोरिया
- हाल ही में भारत की सी. ए. भवानी देवी ने एशियन फेन्सिंग चैम्पियनशिप में एक कांस्य पदक जीता है । वे सेमी-फाइनल में किस देश के खिलाड़ी से हारीं ?
(1) मिस्र
(2) यू.ए.ई.
(3) जापान
(4) उज्बेकिस्तान
(5) अनुत्तरित प्रश्न
उत्तर - उज्बेकिस्तान
- किस भारतीय संस्था को गांधी शांति पुरस्कार 2021 हेतु चयनित किया गया ?
(1) सुलभ इण्टरनेशनल
(2) गीता प्रेस, गोरखपुर
(3) रामकृष्ण मिशन तेज
(4) विवेकानंद केंद्र, कन्याकुमारी
(5) अनुत्तरित प्रश्न
उत्तर - गीता प्रेस, गोरखपुर
- एफ. आई.एस.यू. (FISU) वर्ल्ड यूनिवर्सिटी गेम्स 2023 की पदक तालिका में भारत ने कौन सा स्थान प्राप्त किया है ?
(1) 6वाँ
(2) 7वाँ
(3) 4वाँ
(4) 5वाँ
(5) अनुत्तरित प्रश्न
उत्तर -7वाँ
- 12 अगस्त, 2023 को भारत ने हॉकी की चौथी एशियन चैम्पियनशिप ट्रॉफी में मलेशिया को अन्तिम मैच में हराया । यह मैच किस स्टेडियम में खेला गया था ?
(1) श्री कांतिरावा स्टेडियम
(2) मेयर राधाकृष्णन स्टेडियम
(3) जवाहरलाल नेहरू स्टेडियम
(4) एम. चिन्नास्वामी स्टेडियम
(5) अनुत्तरित प्रश्न
उत्तर - मेयर राधाकृष्णन स्टेडियम
- अरब यात्री सुलेमान ने किस प्रतिहार राजा के शासनकाल में भारत की यात्रा की ?
(1) नागभट्ट प्रथम
(2) नागभट्ट द्वितीय
(3) भोज प्रथम
(4) वत्सराज
(5) अनुत्तरित प्रश्न
उत्तर -भोज प्रथम
- कन्हैया लाल मित्तल, मांगीलाल बाव्या और मकबूल आलम निम्नलिखित किस प्रजा मण्डल आन्दोलन से सम्बद्ध थे ?
(1) बाँसवाड़ा राज्य प्रजा मण्डल
(2) झालावाड़ राज्य प्रजा मण्डल
(3) करौली राज्य प्रजा मण्डल
(4) बूंदी राज्य प्रजा परिषद्
(5) अनुत्तरित प्रश्न
उत्तर - झालावाड़ राज्य प्रजा मण्डल
- मत्स्य संघ का वृहत् राजस्थान में विलय कब हुआ· ?
(1) 25 जनवरी, 1950
(2) 18 अप्रैल, 1948
(3) 15 मई, 1949
(4) 30 मार्च, 1949
(5) अनुत्तरित प्रश्न
उत्तर -15 मई, 1949
- एकी आन्दोलन प्रारम्भ करने के पहले मोतीलाल तेजावत किस राजपूत ठिकाने में कामदार के पद पर कार्यरत थे ?
(1) सलूम्बर
(2) झाड़ोल
(3) देवगढ़
(4) कोठारिया
(5) अनुत्तरित प्रश्न
उत्तर -झाड़ोल
- झाड़ोल (उदयपुर), कुराड़ा (नागौर) और साबणिया (बीकानेर) में क्या समानता है ?
(1) पुरा-पाषाण युग के केन्द्र
(2) ताम्रपाषाण संस्कृति के केन्द्र
(3) ताम्र उपकरणों के भण्डार
(4) लघु पाषाण उपकरण मिले हैं
(5) अनुत्तरित प्रश्न
उत्तर -ताम्र उपकरणों के भण्डार
- निम्नलिखित किस प्राचीन स्थल के उत्खनन में मालव जनपद की लौह सामग्री के विशाल संग्रह की जानकारी प्राप्त हुई है ?
(1) नगरी (मध्यमिका)
(2) नगर (नैनवाँ )
(3) रैद्र (टोंक)
(4) सांभर
(5) अनुत्तरित प्रश्न
उत्तर - रैद्र (टोंक)
- अजमेर का पराक्रमी चौहान शासक जिसने दिल्ली पर विजय प्राप्त कर उसे अपने साम्राज्य में शामिल कर लिया । वह था –
(1) अर्णोराज
(2) विग्रहराज चतुर्थ
(3) पृथ्वीराज तृतीय
(4) अजयराज
(5) अनुत्तरित प्रश्न
उत्तर -विग्रहराज चतुर्थ
- कुवलयमाला नामक कथा संग्रह में कितनी देशी भाषाओं के नाम का उल्लेख हुआ है ?
(1) 17
(2) 18
(3) 15
(4) 16
(5) अनुत्तरित प्रश्न
उत्तर -18
- ‘अचलदास खींची री वचनिका’ के लेखक हैं
(1) केसरी सिंह बारहठ
(2) गोपाल दान कविया
(3) चारण शिवदास
(4) रामनाथ कविया
(5) अनुत्तरित प्रश्न
उत्तर - चारण शिवदास - निम्न में से कौन सा युग्म गलत मेलित है ?
(1) मल्लीनाथजी – गागरोण
(2) रामदेवजी – रामदेवरा
(3) पाबूजी – कोलू
(4) तेजाजी – खड़नाल
(5) अनुत्तरित प्रश्न
उत्तर -मल्लीनाथजी – गागरोण
- चन्द्रभागा मेला प्रतिवर्ष कार्तिक मास में कहाँ आयोजित होता है ?
(1) बाँसवाड़ा
(2) बूंदी
(3) झालरापाटन
(4) डूंगरपुर
(5) अनुत्तरित प्रश्न
उत्तर - झालरापाटन
- निम्न में से कौन सा राजस्थान का दुर्ग गिरि दुर्ग नहीं है ?
(1) जालौर का दुर्ग
(2) गागरोण का दुर्ग
(3) सिवाणा का दुर्ग
(4) चित्तौड़गढ़
(5) अनुत्तरित प्रश्न
उत्तर -गागरोण का दुर्ग
- प्रसिद्ध चित्रकार मुहम्मद शाह जयपुर के किस महाराजा का दरबारी चित्रकार था ?
(1) सवाई जगत सिंह
(2) सवाई राम सिंह द्वितीय
(3) सवाई जय सिंह
(4) सवाई प्रताप सिंह
(5) अनुत्तरित प्रश्न
उत्तर - सवाई जय सिंह
- राजस्थान में किस संप्रदाय के पुरुषों द्वारा अनि नृत्य किया जाता है ?
(1) रामस्नेही संप्रदाय
(2) बिश्नोई संप्रदाय
(3) दादू पंथ
(4) जसनाथी सिद्ध
(5) अनुत्तरित प्रश्न
उत्तर - जसनाथी सिद्ध - भरहुत का स्तूप किस राजवंश की कला का सुन्दर उदाहरण है ?
(1) कुषाणयुगीन स्थापत्य
(2) चोल स्थापत्य
(3) शुंगकालीन स्थापत्य
(4) गुप्तकाल के स्थापत्य
(5) अनुत्तरित प्रश्न
उत्तर - शुंगकालीन स्थापत्य - ‘ललित विग्रहराज’ नाटक की रचना किसने की ?
(1) कल्हण
(2) हेमचन्द्र
(3) महेश
(4) सोमदेव
(5) अनुत्तरित प्रश्न
उत्तर - सोमदेव
- कृष्णदेव राय द्वारा निम्नलिखित किस कवि को ‘आन्ध्र कविता पितामह’ की उपाधि दी गयी थी ?
(1) भट्टमूर्ति
(2) अल्लसानी पेड्डना
(3) पिंगली सूरन्ना
(4) तेनाली रामकृष्ण
(5) अनुत्तरित प्रश्न
उत्तर - अल्लसानी पेड्डना - अकबर द्वारा फतेहपुर सीकरी में निर्मित किंस इमारत में बौद्ध स्थापत्य कला का अनुसरण किया गया था ?
(1) बुलन्द दरवाजा
(2) शेख सलीम चिश्ती का मकबरा
(3) तुर्की सुल्ताना का महल
(4) पचमहल
(5) अनुत्तरित प्रश्न
उत्तर - पचमहल - राजस्थान राज्य का प्रथम राजप्रमुख किसे नियुक्त किया गया ? सेज
(1) महाराजा करणी सिंह, बीकानेर
(2) महाराजा उम्मेद सिंह, जोधपुर
(3) महाराणा भगवत सिंह, उदयपुर
(4) महाराजा सवाई मान सिंह द्वितीय, जयपुर
(5) अनुत्तरित प्रश्न
उत्तर - महाराजा सवाई मान सिंह द्वितीय, जयपुर - निम्नलिखित में से किसके द्वारा ‘सुरकोटड़ा’ नामक हड़प्पा संस्कृति के स्थल की खोज की गई थी ?
(1) एस. आर. राव
(2) बी.बी. लाल
(3) जगतपति जोशी
(4) वाई. डी. शर्मा
(5) अनुत्तरित प्रश्न
उत्तर - जगतपति जोशी - चन्द्रगुप्त द्वितीय ने अपनी पुत्री प्रभावती का विवाह किस राजवंश में कर अपनी स्थिति को सुदृढ़ बनाया ?
(1) कदम्ब वंश
(2) लिच्छवी वंश
(3) नाग वंश
(4) वाकाटक वंश
(5) अनुत्तरित प्रश्न
उत्तर - वाकाटक वंश - अगस्त 1953 में भारत सरकार द्वारा गठित किये गये राज्य पुनर्गठन आयोग के निम्नलिखित में से कौन सदस्य थे ?
(i) सर तेज बहादुर सप्रू
(ii) जस्टिस फजल अली
(iii) के. एम. पन्निकर
(iv) हृदयनाथ कुंजरु
नीचे दिये गये कूट का प्रयोग करके सही उत्तर का चयन कीजिए :
(1) (ii) एवं (iv)
(2) (ii) एवं (iii)
(3) (i), (ii), (iii) एवं (iv)
(4) (ii), (iii) एवं (iv)
(5) अनुत्तरित प्रश्न
उत्तर - (ii), (iii) एवं (iv) - एल्ब नदी और राइन नदी किस सागर में अपना जल गिराती हैं ?
(1) भूमध्य सागर
(2) उत्तरी सागर
(3) ब्लैक सी (काला सांगर)
(4) एड्रियाटिक सागर
(5) अनुत्तरित प्रश्न
उत्तर - - निम्न में से किस सूफी संप्रदाय का प्रसार मुख्यत: सिन्ध, मुल्तान और पंजाब तक सीमित था ?
(1) नक्शबंदी
(2) कादिरी
(3) चिश्ती
(4) सुहरावर्दी
(5) अनुत्तरित प्रश्न
उत्तर - सुहरावर्दी - गोपाल कृष्ण गोखले ने भारत सेवक समाज (Servants of India लास Society) की स्थापना किस वर्ष में की ?
(1) 1906 ई.
(2) 1907 ई.
(3) 1905 ई.
(4) 1904 ई.
(5) अनुत्तरित प्रश्न
उत्तर - 1905 ई.
- भारतीय राष्ट्रीय कांग्रेस का सितम्बर 1920 में कलकत्ता में जो विशेष अधिवेशन आयोजित किया गया था और जिसमें असहयोग आन्दोलन का प्रस्ताव पारित किया गया उसके अध्यक्ष कौन थे ?
(1) मौलाना अबुल कलाम आजाद
(2) दादाभाई नौरोजी
(3) विजय राघवाचारी
(4) लाला लाजपत राय
(5) अनुत्तरित प्रश्न
उत्तर - लाला लाजपत राय - भारत के कौन से क्षेत्र उत्तरी-पूर्वी मानसून वर्षा प्राप्त करते हैं ?
A. तमिलनाडु तट
B. गुजरात तट
C. दक्षिणी आन्ध्र प्रदेश
D. दक्षिण-पूर्व कर्नाटक
कूट :
(1) A, C और D
(2) A, B, C और D
(3) A, B और C
(4) B, C और D
(5) अनुत्तरित प्रश्न
उत्तर - A, C और D - कौन सा सुमेलित नहीं है ?
झील – राज्य में स्थिति
(1) पुलिकट – तमिलनाडु
(2) भीमताल – उत्तराखण्ड
(3) रूपकुण्ड – हिमाचल प्रदेश
(4) लोकटक – मणिपुर
(5) अनुत्तरित प्रश्न
उत्तर - रूपकुण्ड – हिमाचल प्रदेश - निम्नलिखित में से कौन सा संयुक्त राज्य अमेरिका का औद्योगिक प्रदेश नहीं है।
(1) ग्रेट कान्हावा घाटी प्रदेश
(2) सिनसिनाटी इंडियानापोलिस प्रदेश
(3) मिशिगन झील प्रदेश
(4) मिडलैण्ड्स प्रदेश
(5) अनुत्तरित प्रश्न
उत्तर - मिडलैण्ड्स प्रदेश - निम्नलिखित में से किस महाद्वीप में मरुस्थलीकरण की समस्या न्यूनतम है ?
(1) ऑस्ट्रेलिया
(2) यूरोप
(3) अफ्रीका
(4) एशिया
(5) अनुत्तरित प्रश्न
उत्तर - यूरोप - निम्नलिखित कथनों पर विचार कीजिए :
A. कश्मीर हिमालय ‘करेवा’ निर्माण के लिये प्रसिद्ध हैं।
B. नालागढ़ दून सभी दूनों में सबसे बड़ा है।
C. नामचा बरवा पर्वत शिखर अरुणाचल हिमालय में स्थित है।
D. ‘फूलों की घाटी’ हिमाचल और उत्तराखण्ड हिमालय में स्थित है।
कूट:
(1) B और C सही हैं
(2) A, B, C और D सही हैं।
(3) A, B और C सही हैं ।
(4) A, C और D सही हैं।
(5) अनुत्तरित प्रश्न
उत्तर - A, C और D सही हैं। - निम्नलिखित में से कौन से जिलों का समूह प्राप्त मॉनसूनी वर्षा की मात्रा के अनुसार अवरोही क्रम में सही ढंग से व्यवस्थित है ?
(1) भीलवाड़ा, बारां, सीकर
(2) धौलपुर, राजसमंद, जालौर
(3) पाली, जयपुर, भरतपुर
(4) राजसमंद, जालौर, धौलपुर
(5) अनुत्तरित प्रश्न
उत्तर - धौलपुर, राजसमंद, जालौर - निम्नलिखित में से किन तीन नदियों के संगम को ‘त्रिवेणी’ कहा जाता है ?
(1) गम्भीरी, मांसी, धुन्ध
(2) बनास, मैनाल, बेडच
(3) सोम, आहू, बाण्डी
(4) कोठारी, खोरी, बेडच
(5) अनुत्तरित प्रश्न
उत्तर - बनास, मैनाल, बेडच - भारत राज्य वन रिपोर्ट 2021 के अनुसार, वनस्पति आवरण के संदर्भ में वन क्षेत्र 16,654 वर्ग किमी है व राजस्थान के भौगोलिक क्षेत्र का ___ प्रतिशत है।
(1) 7.48
(2) 6.74
(3) 4.87
(4) 8.47
(5) अनुत्तरित प्रश्न
उत्तर - 4.87 - भारत में बॉक्साइट और अभ्रक के सर्वाधिक उत्पादक राज्य कौन से हैं ?
बॉक्साइट – अभ्रक
(1) छत्तीसगढ़ – ओडिशा
(2) मध्य प्रदेश – महाराष्ट्र
(3) झारखण्ड – राजस्थान
(4) ओडिशा – आन्ध्र प्रदेश
(5) अनुत्तरित प्रश्न
उत्तर - ओडिशा – आन्ध्र प्रदेश - पूर्व-पश्चिम कॉरिडोर जोड़ता है ___ ।
(1) दीमापुर को वडोदरा से
(2) इम्फाल को अहमदाबाद से
(3) गुवाहाटी को काण्डला बन्दरगाह से
(4) सिलचर को पोरबन्दर से
(5) अनुत्तरित प्रश्न
उत्तर - सिलचर को पोरबन्दर से - गलत युग्म का चयन कीजिये :
(1) कटड़ा – दक्षिणी अरावली
(2) सतूर – मध्य अरावली
(3) महोहरपुर – उत्तरी अरावली
(4) दुर-मरयाजी – मध्य अरावली
(5) अनुत्तरित प्रश्न
उत्तर - सतूर – मध्य अरावली
- निम्नलिखित में से वर्ष 2001-2011 के मध्य में न्यूनतम दशकीय जनसंख्या वृद्धि दर वाला जिला कौन सा है ?
(1) श्री गंगानगर
(2) बाड़मेर
(3) बूंदी
(4) पाली
(5) अनुत्तरित प्रश्न
उत्तर - श्री गंगानगर - राजस्थान में कालाखुटा, लीलवानी, नारदिया, तिम्मामोरी किस खनिज के उत्पादक क्षेत्र हैं ?
(1) टंगस्टन
(2) मैंगनीज़
(3) लौह-अयस्क
(4) ताँबा
(5) अनुत्तरित प्रश्न
उत्तर - मैंगनीज़ - कालीसिंध सुपर ताप बिजली स्टेशन अवस्थित है
(1) झालावाड़
(2) बारां
(3) बाँसवाड़ा
(4) डूंगरपुर
(5) अनुत्तरित प्रश्न
उत्तर - झालावाड़ - कौन सा सुमेलित नहीं है ?
वन्यजीव अभयारण्य – जिला
(1) बस्सी – चित्तौड़गढ़
(2) शेरगढ़ – बूंदी
(3) सीतामाता – प्रतापगढ़
(4) रामसागर वन विहार – धौलपुर
(5) अनुत्तरित प्रश्न
उत्तर - शेरगढ़ – बूंदी - माही कंचन तथा आर सी बी 911 संकर किस्में हैं
(1) क्रमशः मक्का तथा चावल की
(2) क्रमशः मक्का तथा जौ की की
(3) क्रमश: बाजरा तथा मक्का की
(4) क्रमशः मक्का तथा बाजरे की
(5) अनुत्तरित प्रश्न
उत्तर - क्रमशः मक्का तथा बाजरे की - चुकन्दर पर आधारित प्रथम चीनी उद्योग स्थापित हुआ था
(1) भोपालसागर में
(2) श्री गंगानगर में
(3) उदयपुर में
(4) केशोरायपाटन में
(5) अनुत्तरित प्रश्न
उत्तर -श्री गंगानगर में - माही बजाज सागर परियोजना एक संयुक्त उद्यम है
(1) गुजरात तथा राजस्थान का
(2) राजस्थान, पंजाब तथा गुजरात का
(3) मध्यप्रदेश तथा राजस्थान का
(4) राजस्थान, गुजरात तथा मध्यप्रदेश का
(5) अनुत्तरित प्रश्न
उत्तर - गुजरात तथा राजस्थान का - मेनका गांधी वाद, 1978 में उच्चतम न्यायालय के फैसले के बाद अनुच्छेद 21 के न्यायिक निर्वचन के संबंध में त्रुटिपूर्ण कथन को पहचानिए ।
(1) ‘कानून द्वारा स्थापित प्रक्रिया’ संयुक्त राज्य अमरीका में विद्यमान ‘उचित प्रक्रिया’ के मोटे तौर पर समानार्थक है ।
(2) यह भार याचिकाकर्ता पर है, कि वह सिद्ध करे कि जिस कानून की प्रक्रिया से उसे उसके जीवन या दैहिक स्वतंत्रता से वंचित किया गया है, वह स्वेच्छाचारी है।
(3) ‘जीवन का अधिकार’ में ‘गरिमा के साथ जीने का अधिकार’ शामिल है।
(4) अनुच्छेद 21, 19 व 14 परस्पर अनन्य नहीं हैं।
(5) अनुत्तरित प्रश्न
उत्तर - यह भार याचिकाकर्ता पर है, कि वह सिद्ध करे कि जिस कानून की प्रक्रिया से उसे उसके जीवन या दैहिक स्वतंत्रता से वंचित किया गया है, वह स्वेच्छाचारी है।
- नथमल जी की हवेली अवस्थित है
(1) बीकानेर
(2) बाड़मेर
(3) जैसलमेर
(4) जोधपुर
(5) अनुत्तरित प्रश्न
उत्तर - जैसलमेर - भारत की संविधान सभा के संबंध में निम्नांकित कथनों पर विचार कीजिए :
(i) संविधान सभा का अंतिम अधिवेशन 24 जनवरी, 1950 को हुआ। हुआ
(ii) इस अंतिम अधिवेशन में डॉ. राजेन्द्र प्रसाद भारत के राष्ट्रपति पद पर विधिवत निर्वाचित घोषित किए गए ।
(1) (i) और (ii) दोनों सही हैं।
(2) न तो (i) न ही (ii) सही है।
(3) केवल (i) सही है ।
(4) केवल (ii) सही है।
(5) अनुत्तरित प्रश्न
उत्तर - (i) और (ii) दोनों सही हैं। - भारत के संविधान की निम्नांकित में से कौन सी अनुसूची पहले संवैधानिक संशोधन द्वारा संविधान में जोड़ी गई थी ?
(1) दसवीं
(2) छठी
(3) सातवीं
(4) नवीं
(5) अनुत्तरित प्रश्न
उत्तर - नवीं - निम्नलिखित सूची – P (निर्देशक सिद्धांत) को सूची -R (अनुच्छेद) के साथ सुमेलित कीजिए:
सूची – P सूची – R
A. समान न्याय और निःशुल्क कानूनी सहायता I. अनुच्छेद 48 A
B. पर्यावरण की सुरक्षा II. अनुच्छेद 39 A
C. काम करने का अधिकार III. अनुच्छेद 41
D. स्मारकों का संरक्षण IV. अनुच्छेद 49
सही विकल्प चुनें :
A B C D
(1) II I III IV
(2) I III IV II
(3) II III I IV
(4) III I IV II
(5) अनुत्तरित प्रश्न
उत्तर - II I III IV - राज्य सभा के संबंध में त्रुटिपूर्ण कथन को पहचानिए ।
(1) प्रथम संविधान संशोधन के लिए राज्य सभा का अनुसमर्थन नहीं लिया गया था ।
(2) डॉ. एस. राधाकृष्णन राज्य सभा के एकमात्र सभापति हैं, जो लगातार दो कार्यकाल इस पद पर रहे ।
(3) तीन अवसरों पर राज्य सभा और लोक सभा की संयुक्त बैठक आयोजित हुई है।
(4) वर्तमान में संघ राज्य-क्षेत्रों से 8 सदस्य राज्य सभा में निर्वाचित होते हैं।
(5) अनुत्तरित प्रश्न
उत्तर - डॉ. एस. राधाकृष्णन राज्य सभा के एकमात्र सभापति हैं, जो लगातार दो कार्यकाल इस पद पर रहे । - अविश्वास प्रस्ताव के संबंध में निम्नांकित में से कौन सा कथन सही नहीं है ?
(1) लाल बहादुर शास्त्री ने अपने कार्यकाल के प्रतिवर्ष अधिकतम अविश्वास प्रस्तावों का सामना किया ।
(2) 15 अगस्त, 2028 तक 27 अविश्वास प्रस्ताव, 9 विश्वास प्रस्ताव रखे गए हैं
(3) अविश्वास प्रस्ताव केवल लोक सभा में रखा जा सकता है।
(4) जो सद्स्य अविश्वास प्रस्ताव रखना चाहता है, उसे उसकी सूचना लिखित में लोक सभा स्पीकर को देनी होती है।
(5) अनुत्तरित प्रश्न
उत्तर - * - निम्नांकित कथनों पर विचार कीजिए:
(i) राजनीति शास्त्रियों द्वारा कही गई ‘कांग्रेस प्रणाली’ का 1989 के लोक सभा चुनावों के साथ अंत हो गया ।
(ii) 1989 के लोक सभा चुनावों में भारतीय राष्ट्रीय कांग्रेस सबसे बड़ी अकेली पार्टी के रूप में उभरी ।
(1) (i) व (ii) दोनों सही हैं।
(2) न तो (i) न ही (ii) सही है।
(3) केवल (i) सही है ।
(4) केवल (ii) सही है ।
(5) अनुत्तरित प्रश्न
उत्तर - (i) व (ii) दोनों सही हैं। - निम्नलिखित सूची – P (CAG) को सूची – R (अनुच्छेद) के साथ सुमेलित कीजिए :
सूची- P सूची-R
A. CAG की नियुक्ति I. अनुच्छेद 148
B. CAG के कर्तव्य और शक्तियाँ II. अनुच्छेद 151
C. संघ के खातों का प्रपत्र III. अनुच्छेद 149
D. ऑडिट रिपोर्ट IV. अनुच्छेद 150
सही विकल्प चुनें।
A B C D
(1) II III I IV
(2) I III IV II
(3) II III IV I
(4) III I IV II
(5) अनुत्तरित प्रश्न
उत्तर - I III IV II - सूचना का अधिकार अधिनियम की निम्न में से कौन सी धारा केन्द्रीय सूचना आयोग के कार्य और शक्तियों से सम्बन्धित नहीं है ?
(1) 19
(2) 25
(3) 12
(4) 18
(5) अनुत्तरित प्रश्न
उत्तर - * - निम्नांकित में से किस आयोग ने अन्तर – राज्य परिषद् के स्थान अन्तर-सरकार परिषद् स्थापित करने की अनुशंसा की थी ?
(1) पूंछी आयोग
(2) राजमन्नार आयोग
(3) सरकारिया आयोग
(4) प्रशासनिक सुधार आयोग, 1969
(5) अनुत्तरित प्रश्न
उत्तर - सरकारिया आयोग - 2022 के राष्ट्रपति के निर्वाचन में राजस्थान विधान-सभा के प्रत्येक सदस्य का मत-मूल्य था –
(1) 132
(2) 149
(3) 116
(4) 129
(5) अनुत्तरित प्रश्न
उत्तर - 129 - संविधान के अनुच्छेद 217 (1) के अनुसार, राजस्थान उच्च न्यायालय के मुख्य न्यायमूर्ति से भिन्न किसी न्यायाधीश की नियुक्ति राष्ट्रपति किसके परामर्श उपरांत करेगा ?
(1) राजस्थान के राज्यपाल, भारत के मुख्य न्यायमूर्ति तथा राजस्थान उच्च न्यायालय के मुख्य न्यायमूर्ति ।
(2) राजस्थान उच्च न्यायालय के मुख्य न्यायमूर्ति, भारत के महान्यायवादी तथा राजस्थान के राज्यपाल ।
(3) . भारत के मुख्य न्यायमूर्ति तथा राजस्थान के राज्यपाल ।
(4) संघ के कानून एवं न्याय मंत्री तथा राजस्थान के राज्यपाल ।
(5) अनुत्तरित प्रश्न
उत्तर - राजस्थान के राज्यपाल, भारत के मुख्य न्यायमूर्ति तथा राजस्थान उच्च न्यायालय के मुख्य न्यायमूर्ति ।
- निम्न में से किसकी सिफारिश पर राजस्थान में राजप्रमुख के पद को समाप्त कर राज्यपाल की व्यवस्था की गई ?
(1) संविधान सभा
(2) राज्य विधान सभा
(3) राज्य प्रशासनिक सुधार आयोग
(4) राज्य पुनर्गठन आयोग.
(5) अनुत्तरित प्रश्न
उत्तर - राज्य पुनर्गठन आयोग - निम्न में से कौन सा कथन राजस्थान के मुख्यमंत्री के सम्बन्ध में सही नहीं है ?
(1) 1975 के आपातकाल के समय मुख्यमंत्री हरिदेव जोशी थे ।
(2) मोहनलाल सुखाड़िया ने चार बार मुख्यमंत्री पद की शपथ ली।
(3) सी. एस. वेंकटाचारी निर्वाचित मुख्यमंत्री नहीं थे ।
(4) बरकतुल्ला खां सबसे कम समय तक मुख्यमंत्री रहे।
(5) अनुत्तरित प्रश्न
उत्तर - बरकतुल्ला खां सबसे कम समय तक मुख्यमंत्री रहे - राजस्थान की मंत्रिपरिषद् की न्यूनतम सदस्य संख्या क्या हो सकती है ?
(1) 10
(2) 12
(3) 05
(4) 08
(5) अनुत्तरित प्रश्न
उत्तर - 12 - राजस्थान लोक सेवा आयोग के संबंध में निम्नांकित कथनों पर विचार कीजिए :
(i) आयोग के अध्यक्ष एवं सदस्य राजस्थान के राज्यपाल द्वारा नियुक्त होते हैं।
(ii) आयोग के अध्यक्ष या कोई अन्य सदस्य केवल राष्ट्रपति की आज्ञा से अपने पद से हटाए जा सकते हैं।
(1) (i) व (ii) दोनों सही हैं।
(2) न तो (i) न ही (ii) सही है ।
(3) केवल (i) सही है।
(4) केवल (ii) सही है।
(5) अनुत्तरित प्रश्न
उत्तर - (i) व (ii) दोनों सही हैं। - तहसीलदार की नियुक्ति होती है
(1) कर्मचारी चयन आयोग द्वारा
(2) संघ लोक सेवा आयोग द्वारा
(3) राजस्व मंडल द्वारा
(4) राजस्थान लोक सेवा आयोग द्वारा
(5) अनुत्तरित प्रश्न
उत्तर - राजस्व मंडल द्वारा - निम्नांकित में से कौन सा एक राजस्थान अर्बन ड्रिंकिंग वॉटर सिवरेज एंड इन्फ्रास्ट्रक्चर कॉर्पोरेशन लिमिटेड का हिस्सा नहीं है ?
(1) राजस्थान आवास विकास इन्फ्रास्ट्रक्चर लिमिटेड
(2) राजस्थान अर्बन इन्फ्रास्ट्रक्चर फाइनेंस एंड डवलपमेंट कॉर्पोरेशन लिमिटेड
(3) राजस्थान अर्बन इन्फ्रास्ट्रक्चर डवलपमेंट प्रोजेक्ट
(4) राजस्थान हाउसिंग बोर्ड
(5) अनुत्तरित प्रश्न
उत्तर -
- किस संशोधन अधिनियम द्वारा ‘ग्राम सेवक’ को ‘ग्राम विकास अधिकारी’ से प्रतिस्थापित किया गया है ?
(1) राजस्थान पंचायती राज (संशोधन) अधिनियम, 2017
(2) राजस्थान पंचायती राज (संशोधन) अधिनियम, 2015
(3) राजस्थान पंचायती राज (संशोधन) अधिनियम, 2021
(4) राजस्थान पंचायती राज (संशोधन) अधिनियम, 2019
(5) अनुत्तरित प्रश्न
उत्तर - राजस्थान पंचायती राज (संशोधन) अधिनियम, 2021 - अप्रैल, 2023 में राज्य सरकार द्वारा राजस्थान राज्य सूचना आयोग की एक पीठ की स्थापना किस शहर में किया जाना स्वीकृत किया गया है ?
(1) कोटा में
(3) उदयपुर में
(2) अजमेर में
(4) जोधपुर में
(5) अनुत्तरित प्रश्न
उत्तर - जोधपुर में - निम्नांकित में से किस योजना का संबंध इस नारे से है- “कोई भूखा न सोए” ?
(1) इंदिरा गांधी रोजगार गारंटी योजना
(2) बालगोपाल योजना
(3) इंदिरा रसोई योजना
(4) अन्नपूर्णा फूड पैकेट योजना
(5) अनुत्तरित प्रश्न
उत्तर - इंदिरा गांधी रोजगार गारंटी योजना - राजस्थान राज्य मानव अधिकार आयोग के संबंध में निम्नांकित कथनों पर विचार कीजिए :
(i) मानव अधिकार संरक्षण (संशोधन) अधिनियम, 2006 के प्रावधानानुसार आयोग में एक अध्यक्ष एवं चार सदस्य हैं ।
(ii) वर्तमान में न्यायमूर्ति गोपाल कृष्ण व्यास इसके अध्यक्ष हैं।
(1) (i) व (ii) दोनों सही हैं।
(2) न तो (i) न ही (ii) सही है।
(3) केवल (i) सही है।
(4) केवल (ii) सही है ।
(5) अनुत्तरित प्रश्न
उत्तर - केवल (ii) सही है । - 2014 में नरपत मल लोढ़ा की अध्यक्षता में गठित समिति निम्न में से किस विषय से सम्बन्धित है ?
(1) मानवाधिकार
(2) पंचायती राज
(3) लोकायुक्त
(4) राज्यपाल
(5) अनुत्तरित प्रश्न
उत्तर - लोकायुक्त - राजस्थान के राज्य निर्वाचन आयोग के संबंध में निम्नांकित कथनों पर विचार कीजिये : (i) भारत के संविधान के अनुच्छेद 243 ट के अधीन जुलाई, 1994 में इसका गठन किया गया । (ii) राज्य निर्वाचन आयुक्त के प्रधानत्व में यह एक-सदस्यीय आयोग है।
(1) (i) व (ii) दोनों सही हैं।
(2) न तो (i) न ही (ii) सही है।
(3) केवल (i) सहीं है।
(4) केवल (ii) सही है ।
(5) अनुत्तरित प्रश्न
उत्तर - (i) व (ii) दोनों सही हैं। - मुद्रास्फीति के सन्दर्भ में निम्न कथनों पर ध्यान दीजिये :
कथन (A) : हैडलाइन मुद्रास्फीति उपभोक्ता मूल्य सूचकांक में परिवर्तन की दर को संदर्भित करती है जो एक विशिष्ट परिवार द्वारा उपभोग की जाने वाली वस्तुओं और सेवाओं की एक मानक टोकरी की औसत कीमत का माप है ।
कथन (B): कोर मुद्रास्फीति उपभोक्ता मूल्य सूचकांक से अस्थिर मूल्य वाली कुछ वस्तुओं जैसे खाद्य और ईंधन को बाहर करने के बाद औसत उपभोक्ता कीमतों में बदलाव को मापती है ।
इन कथनों में से
(1) कथन (A) और (B) दोनों सही हैं।
(2) कथन (A) और (B) दोनों ही सही नहीं है ।
(3) केवल कथन (A) सही है ।
(4) केवल कथन (B) सही है।
(5) अनुत्तरित प्रश्न
उत्तर - केवल कथन (B) सही है। - इंदिरा गांधी शहरी रोजगार गारंटी योजना के संबंध में निम्नांकित कथनों पर विचार कीजिए: (i) यह शहरी इलाकों में निवास करने वाले परिवारों को 125 दिवसों के प्रतिवर्ष रोज़गार की गारंटी देती है। (ii) पंजीकरण के बाद, पात्र अभ्यर्थी को 30 दिवसों में रोज़गार उपलब्ध करवाया जाता है ।
(1) (i) व (ii) दोनों सही हैं। ।
(2) न तो (i) न ही (ii) सही है।
(3) केवल (i) सही है।
(4) केवल (ii) सही है
(5) अनुत्तरित प्रश्न
उत्तर - केवल (i) सही है। - निम्नलिखित में से कौन सा समीकरण सकल राजकोषीय घाटे के सूत्र को दर्शाता है ?
(1) सकल राजकोषीय घाटा = कुल व्यय राजस्व प्राप्तियाँ
(2) सकल राजकोषीय घाटा = प्राथमिक घाटा + विदेशों से प्राप्त शुद्ध उधार
(3) सकल राजकोषीय घाटा = शुद्ध घरेलू उधार + आर.बी.आई. से उधार + विदेशी उधार
(4) सकल राजकोषीय घाटा = राजस्व घाटा + पूँजी व्यय
(5) अनुत्तरित प्रश्न
उत्तर - सकल राजकोषीय घाटा = प्राथमिक घाटा + विदेशों से प्राप्त शुद्ध उधार - निम्नांकित में से कौन सी वस्तु लोक वस्तु (पब्लिक गुड) नहीं है ?
(1) राष्ट्रीय सुरक्षा
(2) सरकारी प्रशासन
(3) सड़कें
(4) कारें
(5) अनुत्तरित प्रश्न
उत्तर - कारें - वैश्विक खुशहाली सूचकांक 2023 में भारत किस क्रम पर है ?
(1) 118
(2) 115
(3) 136
(4) 126
(5) अनुत्तरित प्रश्न
उत्तर - 126 - ऑटोमोबाइल क्षेत्र के बारे में निम्न में से कौन सा कथन सही नहीं है ?
(1) यह क्षेत्र भारत की सकल घरेलू उत्पाद में 7.1 प्रतिशत योगदान देता है ।
(2) वर्ष 2021 के अंत में इस क्षेत्र ने 5.3 करोड़ का प्रत्यक्ष और अप्रत्यक्ष रोज़गार सृजन किया ।
(3) वर्ष 2021 में भारत दोपहिया और तिपहिया वाहनों का दुनिया में सबसे बड़ा निर्माता था ।
(4) वर्ष 2021 में भारत यात्री कारों का दुनिया का चौथा सबसे बड़ा निर्माता था ।
(5) अनुत्तरित प्रश्न
उत्तर - वर्ष 2021 के अंत में इस क्षेत्र ने 5.3 करोड़ का प्रत्यक्ष और अप्रत्यक्ष रोज़गार सृजन किया । - निम्नांकित में से कौन राजकोषीय नीति का उपकरण नहीं है ?
(1) ब्याज दर
(2) सार्वजनिक व्यय
(3) करारोपण
(4) हीनार्थ प्रबन्ध
(5) अनुत्तरित प्रश्न
उत्तर - ब्याज दर - निम्न में से कौन सा उपाय चयनात्मक सांख नियंत्रण के सम्बन्ध में सही विकल्प नहीं है ?
(1) सरकारी प्रतिभूतियों को बेचना
(2) उधार सीमा (मार्जिन) में परिवर्तन
(3) नैतिक दबाव
(4) साख राशनिंग
(5) अनुत्तरित प्रश्न
उत्तर -सरकारी प्रतिभूतियों को बेचना
- औषधि क्षेत्र के सम्बन्ध में निम्न में से कौन सा कथन सही नहीं है ?
(1) भारत वैश्विक स्तर पर जेनेरिक दवाओं का सबसे बड़ा प्रदाता है ।
(2) भारत वैक्सीन निर्माण में वैश्विक उत्पादन में 80 प्रतिशत हिस्सेदारी रखता है।
(3) औषधीय उत्पादों के उत्पादन में मात्रा के आधार पर भारत दुनिया में तीसरे स्थान पर है
(4) औषधीय उत्पादों के उत्पादन में मूल्य के हिसाब से भारत दुनिया में 14वें स्थान पर है।
(5) अनुत्तरित प्रश्न
उत्तर -भारत वैक्सीन निर्माण में वैश्विक उत्पादन में 80 प्रतिशत हिस्सेदारी रखता है
- राजस्थान की मुख्यमंत्री लघु उद्योग प्रोत्साहन योजना के बारे में निम्न में से कौन सा तथ्य सही नहीं है ?
(1) इस योजना में लघु क्षेत्र के उद्यमियों को 10 करोड़ तक के ऋणों पर 5 प्रतिशत का ब्याज अनुदान दिया जा रहा है।
(2) इस योजना में लघु क्षेत्र के उद्यमियों को 15 करोड़ तक के ऋणों पर 4 प्रतिशत का ब्याज अनुदान दिया जा रहा है ।
(3) इस योजना में लघु क्षेत्र के उद्यमियों को 25 लाख तक के ऋणों पर 8 प्रतिशत का ब्याज अनुदान दिया जा रहा है ।
(4) इस योजना में लघु क्षेत्र के उद्यमियों को 5 करोड़ तक के ऋणों पर 6 प्रतिशत का ब्याज अनुदान दिया जा रहा है ।
(5) अनुत्तरित प्रश्न
उत्तर - इस योजना में लघु क्षेत्र के उद्यमियों को 15 करोड़ तक के ऋणों पर 4 प्रतिशत का ब्याज अनुदान दिया जा रहा है ।
- वर्ष 2022-23 में, राजस्थान के सेवा क्षेत्र के प्रचलित मूल्यों पर सकल राज्य मूल्य वर्धन (GSVA) में किस उपक्षेत्र का योगदान सर्वाधिक रहा ?
(1) व्यापार, होटल एवं जलपान गृह
(2) परिवहन, भण्डारण एवं संचार
(3) वित्तीय सेवाएँ
(4) स्थावर सम्पदा, आवासीय गृहों का स्वामित्व एवं पेशेवर सेवाएँ
(5) अनुत्तरित प्रश्न
उत्तर - व्यापार, होटल एवं जलपान गृह - वर्ष 2022-23 के अग्रिम अनुमानों के अनुसार, सांकेतिक अथवा प्रचलित मूल्यों पर भारत के सकल घरेलू उत्पाद में कितना प्रतिशत भाग राजस्थान के सकल राज्य घरेलू उत्पाद के होने का अनुमान है ?
(1) 5.18 प्रतिशत
(2) 6.54 प्रतिशत
(3) 3.78 प्रतिशत
(4) 4.86 प्रतिशत
(5) अनुत्तरित प्रश्न
उत्तर - 5.18 प्रतिशत - राजस्थान में अटल भू-जल योजना के लिये निम्न में से कौन सा/से कथन सही है/हैं ?
(a) अटल भू-जल योजना भारत सरकार की वित्तीय सहायता से राजस्थान सरकार द्वारा चलाई जा रही है।
(b) इस योजना का फोकस भू-जल प्रबन्धन में सुधार करना और इसके गिरते स्तर को रोकना हैं ।
नीचे दिये गये कूटों से सही उत्तर का चुनाव कीजिये :
(1) केवल (b)
(2) न तो (a) न ही (b)
(3) (a) और (b) दोनों
(4) केवल (a)
(5) अनुत्तरित प्रश्न
उत्तर - केवल (b) - राजस्थान में किस एजेंसी को पी.एम. – कुसुम योजना (कम्पोनेंट A) के क्रियान्वयन के जिम्मेदारी दी गई है, जिसमें 0.5 मेगावॉट से 2 मेगावॉट क्षमता तक के सौर ऊर्जा संयंत्र स्थापित किये जानें हैं ?
(1) राजस्थान अक्षय ऊर्जा निगम लिमिटेड
(2) ब्यूरो ऑफ एनर्जी एफिशिऐंसी
(3) राजस्थान विद्युत प्रसारण निगम
(4) राजस्थान राज्य विद्युत उत्पादन निगम लिमिटेड
(5) अनुत्तरित प्रश्न
उत्तर - राजस्थान अक्षय ऊर्जा निगम लिमिटेड - राजस्थान में ऊर्जा संरक्षण दिवस कब मनाया जाता है ?
(1) 5 जून
(2) 14 दिसम्बर
(3) 21 मार्च
(4) 22 अप्रैल
(5) अनुत्तरित प्रश्न
उत्तर - 14 दिसम्बर - राजस्थान सरकार ने राजस्थान राजकोषीय उत्तरदायित्व और बजट प्रबन्धन अधिनियम को किस वर्ष में अधिनियमित किया ?
(1) 2005
(2) 2008
(3) 2001
(4) 2003
(5) अनुत्तरित प्रश्न
उत्तर - 2005 - गत वर्ष की तुलना में वर्ष 2022-23 में राजस्थान के सकल राज्य मूल्य वर्धन GSVA (स्थिर 2011-12 बुनियादी मूल्यों पर) में किस क्षेत्र के योगदान में सर्वाधिक वृद्धि होने का में सर्वाधिक वृद्धि होने का अनुमान है ?,,
(1) सेवा क्षेत्र
(2) इनमें से कोई नहीं
(3) कृषि क्षेत्र
(4) उद्योग क्षेत्र
(5) अनुत्तरित प्रश्न
उत्तर - सेवा क्षेत्र - राजस्थान राज्य राजमार्ग विकास कार्यक्रम-II परियोजना के अन्तर्गत 801 कि.मी. लम्बाई के 11 राजमार्गों का उन्नयन किस एजेंसी द्वारा वित्त पोषित है ?
(1) भारतीय राष्ट्रीय राजमार्ग प्राधिकरण
(2) नाबार्ड
(3) एशियन विकास बैंक
(4) विश्व बैंक
(5) अनुत्तरित प्रश्न
उत्तर - विश्व बैंक
प्रीलिम्स के लिए आरपीएससी आरएएस प्रीलिम्स मार्क्स की गणना कैसे करें?
आरपीएससी आरएएस प्रारंभिक परीक्षा में 150 प्रश्न और कुल अंक 200 होंगे। उम्मीदवार द्वारा चिह्नित प्रत्येक गलत उत्तर के लिए 1/3 जुर्माना है। उम्मीदवार आरपीएससी आरएएस की अंकन योजना का उपयोग करके अपने आरपीएससी आरएएस परीक्षा परिणाम का अनुमान लगा सकते हैं, उनकी तुलना आरपीएससी आरएएस पिछले वर्ष के कटऑफ से कर सकते हैं, और यह निर्धारित कर सकते हैं कि क्या उनके पास भर्ती प्रक्रिया में आगे बढ़ने की संभावना है। उम्मीदवार प्रमुख संस्थानों द्वारा जारी अनौपचारिक आरपीएससी आरएएस परीक्षा उत्तर कुंजी की जांच करके अपने स्कोर का अनुमान लगा सकते हैं।
आरपीएससी आरएएस मार्क्स की गणना करने का फॉर्मूला
यहां, हमने आरपीएससी आरएएस के लिए प्रारंभिक अंकों की गणना के लिए सूत्र दिया है, जो सही और गलत दोनों प्रतिक्रियाओं के साथ-साथ अनसुलझे प्रश्नों को भी ध्यान में रखता है।
चूंकि 200 अंकों के लिए कुल 150 प्रश्न हैं, 1 प्रश्न 1.33 अंक का होगा
उम्मीदवार द्वारा प्राप्त अनुमानित अंक यहां जांचे जा सकते हैं
प्राप्त अंकों की संख्या = सही उत्तर अंकित - गलत उत्तर
मान लीजिए कि कुल 150 प्रश्नों में से, एक छात्र ने 110 का प्रयास किया और 40 प्रश्न अनुत्तरित रह गए, और 110 प्रश्नों में से 40 प्रश्न गलत चिह्नित किए गए, तो अनुमानित अंक होगा
कुल अंक = (70 * 1.33) - (40 * 1/3) = 93.1 - 13.33 = 79.77 अंक
आरपीएससी आरएएस प्रारंभिक योग्यता अंक
आरपीएससी आरएएस प्रारंभिक योग्यता अंक भर्ती निकाय द्वारा तय किए जाते हैं। नीचे हमने पिछले वर्ष की श्रेणी-वार योग्यता अंक सारणीबद्ध किए हैं, जिन्हें आरपीएससी आरएएस मुख्य परीक्षा के लिए पात्र होने के लिए एक उम्मीदवार को स्कोर करने की आवश्यकता है।
| आरपीएससी आरएएस कट ऑफ 2022 प्रारंभिक | |
| वर्ग | आरपीएससी आरएएस कट ऑफ मार्क्स |
| सामान्य | 78.70 |
| सामान्य (टीएसपी) | 70.00 |
| अनुसूचित जाति | 71.75 |
| अनुसूचित जनजाति | 76.31 |
| एसटी (टीएसपी) | 58.47 |
| अन्य पिछड़ा वर्ग | 95.00 |

(5) अनुत्तरित प्रश्न
Comments
All Comments (0)
Join the conversation