CUET Score Card 2024; How to Calculate CUET UG Score; Check Steps Here

Jul 28, 2024, 19:45 IST

CUET UG 2024 Score Card: The NTA announced the CUET UG result 2024 on July 29, 2024. Check out the CUET UG Score Card details and the method used to calculate these scores.

Get all the information on the CUET Score Card 2024 here.
Get all the information on the CUET Score Card 2024 here.

CUET UG Score Card 2024: The National Testing Agency (NTA) released the CUET UG 2024 result on July 29, 2024. The exam was successfully conducted from May 15, 2024, to May 24, 2024. This year, the NTA conducted the CUET UG exam in Hybrid (CBT and Pen & paper) Mode at various Examination Centres located in 379 cities including 26 cities outside India, for about 13.48 lacs candidates. The result has been announced on the official website of NTA- exams.nta.ac.in. Along with other information, the CUET Score Card contains two major components i.e., raw score and percentile score. In this article, we will discuss the method used to calculate these scores.

CUET UG 2024 Scorecard

NTA score is a percentile score of the candidate in the test in which he appeared. It indicates his position relative to others who appeared in it. It is an indicator of the relative position of the candidates amongst those who appeared in the test.

CUET UG 2024 Raw Score

The CUET UG raw score is calculated by verifying the final CUET answer key, considering correct and incorrect answers, and following the marking scheme prescribed by NTA. Subsequently, this raw score is converted into a percentile score.

CUET 2024 Marking Scheme

In the CUET UG 2024 exam, candidates are required to answer 40 out of 50 multiple-choice questions (MCQs). The exam duration is 45 or 60 minutes. Below is the marking scheme for CUET 2024:

  • Correct answer or the most appropriate answer: Five marks (+5)
  • Any incorrect option marked will be given minus one mark (-1).
  • Unanswered/Marked for Review will be given no mark (0).

CUET UG 2024 Percentile Score

The percentile score is a relative measure that categorises candidates based on their performance compared to other test takers. For example, if a candidate achieves the 99th percentile, it means he/she performed better than 99% of all CUET test takers in that particular subject.

How to Convert Raw Score into Percentile Score

The percentiles are calculated separately for each shift.

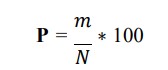
1. Record the number of candidates who have appeared in a shift. Denote this number by N.

2. Sort all the candidates in one shift in decreasing order of their marks.

3. Note the raw marks for each candidate. Suppose this is denoted by T. Count the number of candidates in that shift whose raw scores are less than or equal to T. Denote this number by m.

4. The percentile score for this candidate is then calculated as:

CUET UG Exam 2024 Overview

The Common University Entrance Test (CUET) is being introduced for admission into UG programmes in Central, State and Participating Universities/ Institutions for Academic Session 2024-25 under the Ministry of Education (MoE).

The Common University Entrance Test CUET (UG) - 2024 will provide a common platform and equal opportunity to candidates across the country, especially those from rural and other remote areas and help establish better connections with the Universities. A single application form will enable the Candidates to cover a wide outreach and be part of the admission process to various Central and participating Universities. An overview of CUET UG 2024 is given below:

CUET UG 2024 Overview

Name of the Exam

Common University Entrance Test Undergraduate (CUET UG) 

Conducting Body

National Testing Agency (NTA)

Purpose of the Exam

For admission in PG courses in participating universities/institutes

Number of Participating Universities

  • Central Universities: 46
  • State Universities: 32
  • Deemed Universities: 20
  • Private Universities: 98
  • Government Institutions: 06

Official Website

exams.nta.ac.in

Sunil Sharma is an edtech professional with over 12 years of experience in the education domain. He holds an M.Sc. in Mathematics from Chaudhary Charan Singh University, Meerut. He has worked as an Subject Matter Expert (SME) at Vriti Infocom Private Limited. and later joined Aakash Edutech Private Limited . At Jagran New Media, he writes for the Exam Prep section of JagranJosh.com. Sunil has expertise in Quantitative Aptitude, Logical Reasoning, and English, making him a versatile professional in the education and test preparation sector. He has created content for various management exams CAT, XAT and also for exams such as CUET etc
... Read More

Get here latest School, CBSE and Govt Jobs notification and articles in English and Hindi for Sarkari Naukari, Sarkari Result and Exam Preparation. Empower your learning journey with Jagran Josh App - Your trusted guide for exams, career, and knowledge! Download Now

Trending

Latest Education News