JEE Advanced Memory Based Questions 2025: The JEE Advanced 2025 exam has been conducted smoothly. As candidates finish their JEE Advanced 2025 exam, many are eagerly waiting to evaluate the difficulty level and understand the types of questions that were asked. Since the exam is conducted online, the only way to gather details about the questions is through memory-based recollections from students who appeared for the test.
We’ve collected memory-based questions from Paper 1 of JEE Advanced 2025. These questions have been gathered directly from candidates who appeared for the exam and provide an idea of the topics covered. While these are not official questions, they reflect what was likely asked in the exam. Stay tuned for more updates and solutions to better analyze the paper and enhance your preparation for future sessions.
Check: JEE Advanced 2025 Exam Live Updates
JEE Advanced 2025 Exam Highlights
Event | Details |
| Exam Date | Sunday, May 18, 2025 |
| Organising Institute | IIT Kanpur |
| Paper 1 Timing | 9 : 00 AM – 12 : 00 PM |
| Paper 2 Timing | 2 : 30 PM – 5 : 30 PM |
| Mode | Computer-based, two compulsory papers |
| Subjects | Physics, Chemistry, Mathematics |
JEE Advanced Paper 1 Questions
The JEE Advanced 2025 Paper 1 takes place from 9 AM to 12 PM. In this section, we will provide the memory-based questions from the exam, which are based on the recollections of candidates who appeared for the test. Stay tuned for further updates, and check back regularly for more insights and solutions!
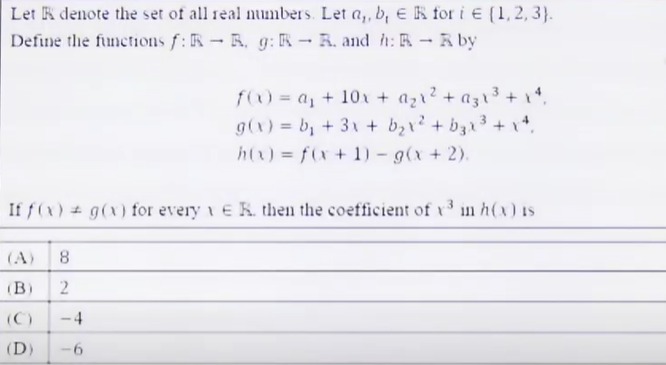
Question 1

Answer: Option (C)
Question 2

Answer: Option (A)
Question 3

Answer: Option (B)
Question 4

Answer: Option (C)
Question 5

Answer: Option (A)
Download JEE Advanced 2025 Paper 1 (English) PDF |
Download JEE Advanced 2025 Paper 1 (Hindi) PDF |
JEE Advanced Paper 2 Questions
The JEE Advanced 2025 Shift 1 takes place from 2:30 PM to 5:30 PM. In this section, we will provide the memory-based questions from the exam, which are based on the recollections of candidates who appeared for the test. Stay tuned for further updates, and check back regularly for more insights and solutions!
Question 1

Answer: Option (C)
Question 2

Answer: Option (B)
Download JEE Advanced 2025 Paper 2 (English) PDF |
Download JEE Advanced 2025 Paper 2 (Hindi) PDF |
JEE Advanced 2025 Marking Scheme
The JEE Advanced 2025 test consists of various marking schemes for various types of questions. It is necessary to learn about this in order to avoid negative marking and strategize your answers accordingly. Here's a brief overview:
- MCQ (Single Correct Option): +3 marks for the correct answer, –1 mark for a wrong answer
- MCQ (Multiple Correct Options): +4 marks if all the correct options are chosen, +1 for every correct option, –1 for any incorrect option selected
- Numerical Value Questions: +3 marks for the numerical value which is correct (within acceptable range), 0 for incorrect or not attempted
- Match the Lists / Paragraph Type Questions: Marks may vary; adhere to the instructions provided on the screen during the exam
Important Links:
Comments
All Comments (0)
Join the conversation