CBSE Class 10 Maths (Basic) Sample Paper for Term 1 Exam 2021 with Answers and Important Resources

Dec 3, 2021, 21:13 IST

Check CBSE Class 10 Maths Basic Term 1 Sample Paper for tomorrow's board exam. Download the sample paper and marking scheme cum solution to know the paper pattern and correct answers respectively. Also, check other important resources for effective exam preparation.

CBSE Class 10 Maths Basic Sample Paper 2021-2022 for Term 1
CBSE Class 10 Maths Basic Sample Paper 2021-2022 for Term 1

CBSE Term 1 Board Exam 2021-2022: Download from here the new CBSE Sample Paper and Marking Scheme for CBSE Class 10 Maths Basic Term 1 Board Exam that will be held in November-December 2021. The CBSE Class 10 Maths Basic Sample Paper is important to know the format and level of questions for the term 1 exam. The CBSE Marking Scheme or Solution will help you know the correct answers for all questions given in the sample paper. 

New* Important Assertion Reason Questions for CBSE Class 10 Maths Term 1 Exam 2021

CBSE Class 10 Mathematics (Basic) Sample Paper for Term 1:

Time Allowed: 90 minutes

Maximum Marks: 40

General Instructions:

1. The question paper contains three parts A, B and C.

2. Section A consists of 20 questions of 1 mark each. Attempt any 16 questions.

3. Section B consists of 20 questions of 1 mark each. Attempt any 16 questions.

4. Section C consists of 10 questions based on two Case Studies. Attempt any 8 questions.

5. There is no negative marking.

CBSE Class 10 Maths Best Resources for High Score in Term 1 Board Exam 2021-22

SECTION A

Section A consists of 20 questions. Any 16 questions are to be attempted

1. A box contains cards numbered 6 to 50. A card is drawn at random from the box. The probability that the drawn card has a number which is a perfect square like 4,9….is

(a) 1/45

(b) 2/15

(c) 4/45

(d) 1/9

2. In a circle of diameter 42cm ,if an arc subtends an angle of 60 ˚ at the centre where ∏=22/7,then the length of the arc is

(a) 22/7 cm

(b) 11cm

(c) 22 cm

(d) 44 cm

CBSE Class 10 Maths Term 1 Syllabus 2021-2022

CBSE Class 10 Term 1 Sample Papers 2021-2022 (All Subjects)

3. If sinƟ = x and secƟ = y , then tanƟ is

(a) xy

(b) x/y

(c) y/x

(d) 1/xy

4. The pair of linear equations y = 0 and y = -5 has

(a) One solution

(b) Two solutions

(c) Infinitely many solutions

(d) No solution

5. A fair die is thrown once. The probability of even composite number is

(a) 0

(b) 1/3

(c) 3/4

(d) 1

6. 8 chairs and 5 tables cost Rs.10500, while 5 chairs and 3 tables cost Rs.6450. The cost of each chair will be

(a) Rs. 750

(b) Rs.600

(c) Rs. 850

(d) Rs. 900

7. If cosƟ+cos2Ɵ =1, the value of sin2Ɵ+sin4Ɵ is

(a) -1

(b) 0

(c) 1

(d) 2

8. The decimal representation of 23/(23 × 52) will be

(a) Terminating

(b) Non-terminating

(c) Non-terminating and repeating

(d) Non-terminating and non-repeating

9. The LCM of 23X32 and 22X33 is

(a) 2 3

(b) 3 3

(c) 2 3X33

(d) 2 2X32 1

10. The HCF of two numbers is 18 and their product is 12960. Their LCM will be

(a) 420

(b) 600

(c) 720

(d) 800

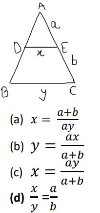
11. In the given figure, DE II BC. Which of the following is true?

12. The co-ordinates of the point P dividing the line segment joining the points A (1,3) and B (4,6) internally in the ratio 2:1 are

(a) (2,4)

(b) (4,6)

(c) (4,2)

(d) (3,5)

13. The prime factorisation of 3825 is

(a) 3x52 x21

(b) 32 x52 x35

(c) 32 x52 x17

(d) 32 x25x17

14. In the figure given below, AD=4cm,BD=3cm and CB=12 cm, then cotƟ equals

(a) 3/4

(b) 5/12

(c) 4/3

(d) 12/5

15. If ABCD is a rectangle , find the values of x and y

(a) X=10,y=2

(b) X=12,y=8

(c) X=2,y=10

(d) X=20,y=0

16. In an isosceles triangle ABC, if AC=BC and AB2=2AC2, then the measure of angle C will be

(a) 30˚

(b) 45˚

(c) 60˚

(d) 90˚

17. If -1 is a zero of the polynomial p(x) = x2 -7x - 8 , then the other zero is

(a) -8

(b) -7

(c) 1

(d) 8

18. In a throw of a pair of dice, the probability of the same number on each die is

(a) 1/6

(b) 1/3

(c) 1/2

(d) 5/6

19. The mid-point of (3p,4) and (-2,2q) is (2,6) . Find the value of p+q

(a) 5

(b) 6

(c) 7

(d) 8

20. The decimal expansion of 147/120 will terminate after how many places of decimals?

(a) 1

(b) 2

(c) 3

(d) 4

Download the full sample paper from the link mentioned below:

CBSE Class 10 Maths Basic Term 1 Sample Paper 2021-2022

CBSE Class 10 Maths Basic Marking Scheme (Solution) for Term 1 SQP 2021-2022

Also Check: CBSE Class 10 Maths Complete & Best Study Material for 2021-2022

Gurmeet Kaur
Gurmeet Kaur

Assistant Manager

Gurmeet Kaur is an Education Industry Professional with 10 years of experience in teaching and creating digital content. She is a Science graduate and has a PG diploma in Computer Applications. At jagranjosh.com, she creates content on Science and Mathematics for school students. She creates explainer and analytical articles aimed at providing academic guidance to students. She can be reached at gurmeet.kaur@jagrannewmedia.com

... Read More

Get here latest School, CBSE and Govt Jobs notification and articles in English and Hindi for Sarkari Naukari, Sarkari Result and Exam Preparation. Empower your learning journey with Jagran Josh App - Your trusted guide for exams, career, and knowledge! Download Now

Trending

Latest Education News