CBSE Class 9 Maths Half Yearly Sample Paper 2025 with Solutions: Download PDF For FREE

Aug 18, 2025, 17:54 IST

CBSE Class 9 Maths Half Yearly Sample Paper 2025: Maths can be a challenging subject for many students, but with the right practice, they can score well. Half-yearly exams are around the corner, so students can check the CBSE Class 9th Maths Sample Paper here for the half-yearly exams. 

CBSE Class 9 Half-Yearly Sample Paper Answer Key 2025
CBSE Class 9 Half-Yearly Sample Paper Answer Key 2025

CBSE Class 9 Maths Half Yearly Sample Paper 2025 with Solutions: CBSE Class 9 Maths Half Yearly Sample Paper 2025 is an important resource for students, which is designed to help you prepare effectively for the half-yearly exams. This sample paper is based on the latest NCERT syllabus, including Multiple Choice Questions (MCQs), Assertion-Reason based questions, and case-study questions. Students must note that there is no specific syllabus released for half-yearly exams. The syllabus may vary from school to school, so students must keep updated with the official notifications. Check the sample paper below. 

CBSE Class 9 Maths Half Yearly Sample Paper 2025 with Solutions

Students can check the sample paper from below, along with their answers too: 

CBSE Class 9 Maths Half Yearly Sample Paper 2025: Section-A

Q No

Section-A (20x1 = 20 marks)

Marks

1

Which of the following statements is true?

  1. Every irrational number can be represented as a fraction.

  2. Every irrational number can be represented with the help of decimals.

  3. Every rational number can be represented as a fraction.

  4. Every rational number can be represented as an integer.

1

2

If (33)2 = 9x then 4x =?

a) 1                       b) 4                             c) 16                              d) 64

1

3

Which of the following expressions is a polynomial in one variable?

a) 4x2 – 3x + 7           b) 4x2 – 3y + 7               c) 2x + 5              d) y +  1y

1

4

Find the value of: (–12)3 + (7)3 + (5)3

a) 1275                     b) 1260                         c) – 1240                  d) – 1260

1

5

If P (x) = 2x2 – 4x + 3, then P (–1) =?

a) 1                            b) 5                                  c) 9                             d) – 3

1

6

Which one of the following options is true? The equation y = 3x + 5 has

a) A unique solution      b) Two solutions                 

c) No solution              d) Many solutions

1

7

Which one options is correct for the equation 3y – 2x = 5(x + y) – 4 expressed in the standard form of a linear equation as ax + by + c = 0?

a) 7x + 2y – 4 = 0          b) – 7x + 2y + 4 = 0             

c) – 7x – 2y – 4 = 0       d) 7x – 2y + 4 = 0

1

8

Name of each part of the plane formed by horizontal and vertical lines in a Cartesian plane.

a) Origin               b) Abscissa                   c) Ordinate            d) Quadrant

1

9

In the adjacent figure, according to Euclid’s 5th postulate, the pair of angles, having the sum less than 180°, is: 

a) 1 and 2                          b) 2 and 4

c) 1 and 3                          d) 3 and 4

1

10

The supplement of an angle y is:

a) 90⁰ + y                  b) 90⁰ – y                     c) 180⁰ + y            d) 180⁰ – y

1

11

In ∆ABC, BC = AB and ∠B = 80°. Then ∠A is equal to

a) 800                        b) 500                               c) 200                        d) 100

1

12

If the diagonals of a quadrilateral are equal and bisect at right angles, then the quadrilateral is 

a) Square               b) Rectangle             c) Rhombus          d) Parallelogram

1

13

A diagonal of a rectangle is inclined to one side of the rectangle at 25º. The acute angle between the diagonals is

a) 550                          b) 500                               c) 400                       d) 250

1

14

Which of the following statements is incorrect?

  1. Equal chords of a circle subtend equal angles at the centre.

  2. The perpendicular from the centre of a circle to a chord trisects the chord.

  3. Angles in the same segment of a circle are equal.

  4. Equal chords of a circle are equidistant from the centre.

1

15

In adjacent figure, if ∠ABC = 20º, then ∠AOC is equal to: 

a) 200                                          b) 500                               

c) 400                                         d) 700

1

16

The edges of a triangular board are 6 m, 8 m and 10 m. what is the cost of painting it at the rate of ₹5 per square metre

a) ₹70                            b) ₹80                        c) ₹120                  d) ₹240

1

17

If volume and surface area of a sphere is numerically equal, then its diameter is

a) 2 units                       b) 3 units                   c) 4 units                d) 6 units

1

18

In the class intervals 15 – 25, 25 – 35, the number 25 is included in 

a) 15 – 25                      b) 25 – 35                  c) both                    d) none

1

 

DIRECTIONS: In questions 19 and 20, a statement of Assertion (A) is followed by a statement of Reason (R). Choose the correct option from the following.

a) Both Assertion and Reason are TRUE and Reason is the correct explanation of Assertion. 

b) Both Assertion and Reason are TRUE, but Reason is not the correct explanation of Assertion. 

c) Assertion is TRUE but Reason is FALSE

d) Assertion is FALSE but Reason is TRUE.

 

19

Assertion (A): The polynomial p (x) = 4x3 – 3x2 + 5x – 6 when divided by (x – 1) gives zero as the remainder.  

Reason (R): (x – 1) is a factor of the polynomial p (x) = 4x3 – 3x2 + 5 x – 6

1

20

Assertion (A): If the angles of a quadrilateral are x, (x + 30), (x − 30) and 2x, the measure of the smallest angle is 520.

Reason (R): The sum of all angles of a quadrilateral is 3600.

1

CBSE Class 9 Maths Half Yearly Sample Paper 2025: Section-B

21

A shot-putt is a metallic sphere of radius 4.9 cm. if the density of the metal is 7.8g per cm cube, find the mass of the shot-putt.

2

22

Factorise 8x3 - (2x-y)3

2

23

Write the coordinates of the point:

Which lies on the x and y axes both. 

Whose ordinate is -4 and which lies on the y-axis.

2

24

If point C lies between two points A and B such that AC = BC, then prove that AC = 1/2𝐴𝐵. Explain by drawing the figure.

OR

Why is Axiom 5, The whole is greater than a part, considered a “universal truth

2

25

The surface areas of two spheres are in the ratio 1:4. Find the ratio of their volumes.

OR

Find the capacity of a conical vessel in litres with a height of 12 cm and a slant height of 13 cm

2

CBSE Class 9 Maths Half Yearly Sample Paper 2025: Section-C

 

Section - C (6x3 = 18 marks)

 

26

Find three different irrational numbers between the rational numbers  57 and 1113.

OR

Express 0. 417 in the form of p/q , where p and q are integers and q 0.

3

27

Verify that: x3 + y3 + z3 − 3 xyz  = 12 (x + y + z) [(x – y)2 + (y – z)2 + (z – x)2]

OR

Factorise : x3 – 3x2 – 9x – 5

3

28

Express the following linear equations in the form ax + by + c = 0 and indicate the values of a, b and c in each case:

(i) 3y + 2x = 9.35                 (ii) x + y5 – 10 = 0                       (iii) – 3x + 2 = 0

3

29

If the point (3, 4) lies on the graph of 3y = ax + 7, then find the value of a.

3

30

In the adjoining figure, LM is a line parallel to the y-axis at a distance of 3 units. Find,

(i) What are the coordinates of the points P, R and Q? 

(ii) What is the difference between the abscissa of the points L and the ordinate of M?

3

31

A random survey of the number of children of various age groups playing in a park was found as follows:

Draw a histogram to represent the data.

3

CBSE Class 9 Maths Half Yearly Sample Paper 2025: Section-D

 

Section D

 

32

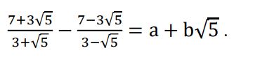
Find the values of a and b if,

SD-1

[5]

33

If a + b + c = 5 and ab + bc + ca = 10, then prove that, a3 + b3 + c3 − 3abc = −25

OR

Using factor theorem, factorise the polynomial: x3 + 2x2 – x – 2

[5]

34

Two parallel lines, l and m, are intersected by a transversal p. Show that the quadrilateral formed by the bisectors of the interior angles is a rectangle.

SD-2

OR

ABC is a right-angled triangle right-angled at C. A line through the mid-point M of hypotenuse AB and parallel to BC intersects AC at D. Show that

SD-3

1. D is the midpoint of AC

2. MD ⊥ AC

3. CM = MA = 1/2 AB

[5]

35

The following table gives the distribution of students of two sections according to the marks obtained by them:

Section A

Section B

Marks

Frequency

Marks

Frequency

0 – 10

3

0 – 10

5

10 – 20

9

10 – 20

19

20 – 30

17

20 – 30

15

30 – 40

12

30 – 40

10

40 – 50

9

40 – 50

1

Represent the marks of the students of both sections on the same graph by frequency polygons.

 

CBSE Class 9 Maths Half Yearly Sample Paper 2025: Section-E

 

Section - E (4x3 = 12 marks)

 

36

Swimming Pool Construction

Rajan has a form house in Patiala. He has a swimming pool also inside his form house, in the shape of a rectangular prism with a length of 5x + 10 meters, width 3x + 5 meters, and depth x + 2 meters.

On the basis of the above information, answer the following:

(a) Write a polynomial to represent the volume of the pool.

(b) If x = 1, calculate the volume of swimming pool.

(c) The cost of filling the pool with water is ₹8 per cubic meter. Determine the total cost to  fill the pool.

OR

 If Rajan wants to paint the walls of the pool, Determine the area to be painted.




















1

1


2

37

Two cars are moving on two parallel roads represented as AB and CD respectively in the given figure. First car reaches at point E and takes a turn towards its right at an angle of 50⁰. At the same time, second car reaches at point F and takes a turn towards its left at an angle of 60⁰. They both meet at a point G. Based on the above information and given figure, answer the following question (without considering the width of the roads)


(a) What will be the measure of angle y marked in the figure? 

(b) What will be the measure of EGF marked as x?

(c) What will be the measure of reflex EGF?

      OR

What will be the measure of reflex AEG?






















1

2


1

38

Triangles are used in bridges because they evenly distribute weight without changing their proportions. When force is applied on a shape like rectangle it would flatten out. Before triangles were used in bridges, they were weak and could not be very big. To solve that problem engineers would put a post in the middle of a square and make it sturdier. Isosceles triangles were used to construct a bridge in which the base and equal sides of an isosceles triangle are in the ratio 2:3:3 and its perimeter is 40 m.


(a) What are the measurements of the sides of an isosceles triangle?

      OR

Find the semi-perimeter of the above triangle.

(b) What is the area of the above isosceles triangle so formed?

(c) Find the cost of painting the so-formed triangle at the rate of ₹ 18.50 per 𝑚2.



















1



2

1

This is the complete sample paper that the students can get. They can also check the answers to the sample paper. 

CBSE Class 9 Maths Half Yearly Answer Key 2025 with Solutions

Students can check the sample paper along with the answer key here: 

This is the complete sample paper that the students can get. They can also check the answers to the sample paper. 

Question Part Answer Points
c) Every rational number can be represented as a fraction. 1
d) 64 1
a) 4x23x+7 1
d) -1260 1
c) 9 1
d) Many solutions 1
a) 7x+2y4=0 1
d) Quadrant 1
c) 1 and 3 1
d) 180y 1
b) 500 1
a) Square 1
b) 500 1
b) The perpendicular from the centre of a circle to a chord trisects the chord. 1
c) 400 1
c) 120 1
d) 6 units 1
b) 25 - 35 1
a) Both Assertion and Reason are TRUE and Reason is the correct explanation of Assertion. 1
d) Assertion is FALSE but Reason is TRUE. 1

To get the full answers, students can download the sample paper answer key for FREE

CBSE Class 9 Half-Yearly Sample Paper Answer Key 2025 FREE PDF Download

Other Related Links:

CBSE Class 10 Maths Half Yearly Sample Paper 2025 with Solution (Standard)


Akshita Jolly
Akshita Jolly

Content Writer

Akshita Jolly is a multimedia professional specialising in education, entertainment, fashion, health, and lifestyle news. Holding a degree in Journalism and Mass Communication, she has contributed to renowned media organisations, including the Press Trust of India. She currently serves as Executive – Editorial at Jagran New Media, where she writes, edits, and manages content for the School and News sections of the Jagran Josh (English) portal. She also creates engaging and informative videos for the Jagran Josh YouTube platform, helping to make educational content more accessible and dynamic. Her work has contributed to reaching over 10 million monthly users, reflecting both the impact and scale of her content. For inquiries, she can be reached at akshitajolly@jagrannewmedia.com.
... Read More

Get here latest School, CBSE and Govt Jobs notification and articles in English and Hindi for Sarkari Naukari, Sarkari Result and Exam Preparation. Empower your learning journey with Jagran Josh App - Your trusted guide for exams, career, and knowledge! Download Now

Trending

Latest Education News