Kerala +2 Maths Question Paper And Answer Key 2025, Download PDF

Mar 17, 2025, 19:57 IST

Kerala Plus Two Maths Exam 2025: The exam was conducted successfully, by following the latest syllabus and exam pattern. Students found the paper well-balanced, with a mix of conceptual and numerical questions. The question paper, answer key, will be available shortly to help students assess their performance.

Kerala +2 Maths Question Paper And Answer Key 2025
Kerala +2 Maths Question Paper And Answer Key 2025

Kerala +2 Maths Exam 2025: The Kerala Plus Two Maths Exam 2025 was held as per the schedule set by the Directorate of Higher Secondary Education (DHSE), Kerala. This exam is a crucial milestone for Class 12 students, as it plays a significant role in shaping their higher education prospects. The paper tested students' understanding of core Maths concepts. 

A thorough analysis of the question paper reveals a well-structured exam that adhered to the prescribed syllabus and blueprint. Students who had a strong conceptual grasp and practised numerical problems regularly found the paper manageable. With the release of the official question paper and answer key, students can now review their responses and estimate their scores, aiding in better preparation for future competitive exams.

Kerala Plus Two Maths Exam 2025 Question Paper

Students can check the Kerala Plus Two Maths Exam 2025 Question Paper here.

Kerala Plus Two Maths Question Paper 2025 FREE PDF Download

Kerala Plus Two Maths Exam 2025 Answer Key 2025

Now that the paper is over, students might be waiting for the answer key. The answer key helps the students to estimate their total score. Students can check the answers by subject experts below:

Question 1.

(a) A function f defined on N, the natural numbers, as f(n)=2n; n∈N. Then f is

(A) one-one and onto

(B) one-one but not onto

(C) not one-one and not onto

(D) onto but not one-one

Answer: (B) one-one but not onto

(b) R={(1,4),(2,5),(3,6)}is a relation from A={1,2,3}to B={4,5,6,7}. Check whether R is a bijection or not. Justify your answer.

Solution:

Given relation:

R={(1,4),(2,5),(3,6)}, A={1,2,3}, B={4,5,6,7}

  • One-One: Each element in A maps to a unique element in B, so is one-one.
  • Onto: The codomain is {4,5,6,7}, but the range (values actually covered) is {4,5,6}. Since 7 is missing, the function is not onto.

Therefore, R is not bijective because it is not onto.

Question 2.

(a) If A is a square matrix such that A2=A, then (I+A)3−7A is ___.

(b) Find x and y if

Solution:

(a) Given:

A2=A

We expand the expression:

(I+A)3=I3+3I2A+3IA2+A3

Since I2=I, I3=I, and using A2=A:

(I+A)3=I+3A+3A+A=I+7A

Now,

(I+A)3−7A=(I+7A)−7A=I

Hence, (I+A)3−7A = I (Identity Matrix)

(b) Answer: x=3, y=3

Question 3. 

(a) The graph below depicts:

(A) y=sin−1x

(B) y=cos−1x

(C) y=cosec−1x

(D) y=cot−1x

Answer:  (D) y=cot−1x

(b) Write the simplest form of

Answer: ½tan−1x

Question 4.

(a) Which of the following is an increasing function in R?

(A) cos⁡x
(B) x3
(C) x2
(D) ∣x∣

(b) Find the interval in which the function f(x)=x2−4x+6 is increasing or decreasing in R.

Thus, f(x) is decreasing in (-∞, 2] and increasing in [2, ∞)

Question 5.

Let f: R→R be defined by

(a) For what value of K, f is continuous?
(b) Find f(2)

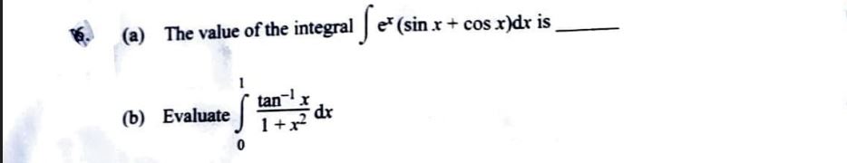
Question 6.

 

 

Question 7.

 

(b) Write a unit vector in the direction of 

Question 8. If P(A)=0.8, P(B)=0.5 and P(B/A)=0.4P(B/A) = 0.4P(B/A)=0.4, then find

(a) P(A∩B)
(b) P(A/B)
(c) Check whether A and B are independent events.

Kerala Plus Two Maths Answer Key 2025 FREE PDF Download

Also, check

 

 

Akshita Jolly
Akshita Jolly

Content Writer

Akshita Jolly is a multimedia professional specialising in education, entertainment, fashion, health, and lifestyle news. Holding a degree in Journalism and Mass Communication, she has contributed to renowned media organisations, including the Press Trust of India. She currently serves as Executive – Editorial at Jagran New Media, where she writes, edits, and manages content for the School and News sections of the Jagran Josh (English) portal. She also creates engaging and informative videos for the Jagran Josh YouTube platform, helping to make educational content more accessible and dynamic. Her work has contributed to reaching over 10 million monthly users, reflecting both the impact and scale of her content. For inquiries, she can be reached at akshitajolly@jagrannewmedia.com.
... Read More

Get here latest School, CBSE and Govt Jobs notification and articles in English and Hindi for Sarkari Naukari, Sarkari Result and Exam Preparation. Empower your learning journey with Jagran Josh App - Your trusted guide for exams, career, and knowledge! Download Now

Trending

Latest Education News