NCERT Book Class 9 Maths Chapter 1 Number System PDF (Latest Edition)

Jul 9, 2021, 23:15 IST

Number System chapter of Class 9 Maths NCERT Book can be downloaded in PDF format from here. We have provided here the latest edition of the chapter along with precise NCERT Solutions.

NCERT Class 9 Maths Chapter 1 Number System PDF
NCERT Class 9 Maths Chapter 1 Number System PDF

Class 9 Maths Chapter 1 ´Number System` of NCERT Book is best to understand the concept of numbers and make your basics stronger for obtaining good results in exams. You will get here the latest edition of the chapter that will help you learn the updated information and prepare well for the examinations to be conducted in the current academic year 2021-2022.

About Class 9  Maths Chapter 1 Number System

Number System chapter explains the concept of rational and irrational numbers. You will get to learn the representation of these forms of numbers along with special properties and identities. Some solved examples and exercise questions are given in the chapter for more clarification of concepts and also for self-assessment.

Major topics discussed in the chapter are:

→ Introduction to Number System

→ Irrational Numbers

→ Real Numbers and their Decimal Expansions

→ Representing Real Numbers on the Number Line

→ Operations on Real Numbers

PDF download of the chapter can be accessed from the following link:

NCERT Class 9 Maths Chapter 1 - Number System

Some important points to revise from the chapter are:

• A number r is called a rational number, if it can be written in the form p/q , where p and q are integers and q ≠ 0. 2.

• A number s is called an irrational number, if it cannot be written in the form p/q , where p and q are integers and q ≠ 0.

• The decimal expansion of a rational number is either terminating or non-terminating recurring.

• The decimal expansion of an irrational number is non-terminating non-recurring.

• All the rational and irrational numbers make up the collection of real numbers.

• If r is rational and s is irrational, then r + s and r – s are irrational numbers, and rs and r/s are irrational numbers, r ≠ 0. 8.

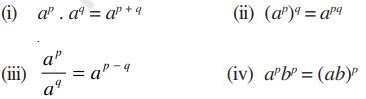
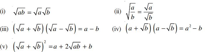
• positive real numbers a and b, the following identities hold:

• Let a > 0 be a real number and p and q be rational numbers. Then

Also, check the NCERT Solutions for Class 9 Maths Chapter 1 from the following link:

NCERT Solutions for Class 9 Maths Chapter 1 - Number System

Also Check:

NCERT Books for Class 9 (Latest Editions for 2021-22)

NCERT Solutions for Class 9 (Updated for 2021-22)

Important* CBSE Class 9 Maths Best & Complete Study Material for Class 9 Maths for 2021-2022

Gurmeet Kaur
Gurmeet Kaur

Assistant Manager

Gurmeet Kaur is an Education Industry Professional with 10 years of experience in teaching and creating digital content. She is a Science graduate and has a PG diploma in Computer Applications. At jagranjosh.com, she creates content on Science and Mathematics for school students. She creates explainer and analytical articles aimed at providing academic guidance to students. She can be reached at gurmeet.kaur@jagrannewmedia.com

... Read More

Get here latest School, CBSE and Govt Jobs notification and articles in English and Hindi for Sarkari Naukari, Sarkari Result and Exam Preparation. Empower your learning journey with Jagran Josh App - Your trusted guide for exams, career, and knowledge! Download Now

Trending

Latest Education News