SSC GD Constable Result 2024: एसएससी ने जीडी कांस्टेबल 2024 (ssc gd result 2024) के नतीजे जारी कर दिए हैं. नतीजे महिला और पुरुष उम्मीदवारों के लिए अलग-अलग पीडीएफ प्रारूप में जारी किया गया है. उम्मीदवार ऑफिसियल वेबसाइट ssc.gov.in से या इस पेज पर दिए गए डायरेक्ट डाउनलोड लिंक से अपने परिणाम चेक और डाउनलोड कर सकते हैं. परीक्षा में कुल 308076 पुरुष अभ्यर्थी और 38328 महिला अभ्यर्थी लिखित परीक्षा में सफल हुए हैं।
SSC GD Constable Result 2024 PDF
उम्मीदवार नीचे दिए गए लिंक से एसएससी जीडी रिजल्ट 2024 पीडीएफ डाउनलोड कर सकते हैं-
| एसएससी जीडी कांस्टेबल रिजल्ट पीडीएफ 2024 (पुरुष उम्मीदवारों की सूची) एसएससी जीडी कांस्टेबल रिजल्ट पीडीएफ 2024 (महिला उम्मीदवारों की सूची)
|
एसएससी जीडी परीक्षा में कुल 351176 उम्मीदवारों को फिजिकल टेस्ट के लिए बुलाया गया है। पुरुष वर्ग में 308076 उम्मीदवारों ने तो महिलाओं में 38328 उम्मीदवारों ने फिजिकल टेस्ट के लिए सफलता प्राप्त की है। सफल पुरुष उम्मीदवारों में EWS के 26507, ST के 47697, OBC के 31981 और ESM के 2285 अभ्यर्थी हैं। जबकि अनारक्षित वर्ग के 131875 अभ्यर्थी सफल हुए हैI सफल महिला उम्मीदवारों में EWS की 3096, SC 5984, ST के 3696, OBC के 8410 और ESM के 4 अभ्यर्थी हैं। जबकि 17138 अभ्यर्थी अनारक्षित वर्ग की हैं।
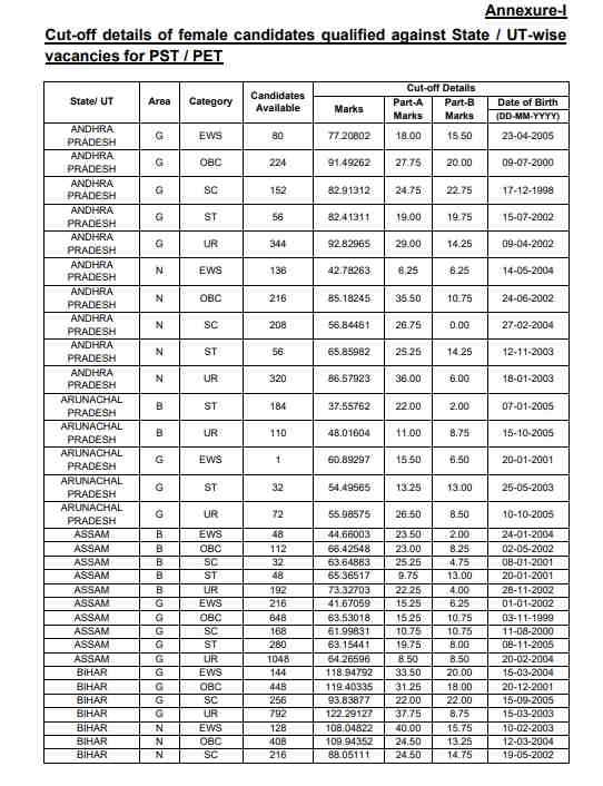
SSC GD Constable Female Cut-off: यहाँ चेक करें किस राज्य में कितनी गई महिलाओं की कट ऑफ
SSC GD Constable Result 2024 Female Cut Off

SSC GD Male Cut OFF 2024

SSC GD Constable Result 2024 PDF कैसे डाउनलोड करें ?
- एसएससी जीडी कांस्टेबल परिणाम 2024 कर्मचारी चयन आयोग (एसएससी) की आधिकारिक वेबसाइट www.ssc.gov.in पर ऑनलाइन जारी किया जाएगा। यहां हमने ssc gd result pdf डाउनलोड करने के लिए पूरी प्रक्रिया दी गई है उम्मीदवार नीचे दिए गए स्टेप्स को फॉलो कर के अपने परिणाम पीडीएफ चेक कर सकते हैं.
- कर्मचारी चयन आयोग (एसएससी) की आधिकारिक वेबसाइट www.ssc.gov.in पर जाएं।
- होमपेज पर रिजल्ट टैब पर क्लिक करें।
- स्क्रीन पर एक नया पेज दिखाई देता है. उस लिंक पर क्लिक करें जिसमें लिखा है, "केंद्रीय सशस्त्र पुलिस बलों (सीएपीएफ), एसएसएफ में कांस्टेबल (जीडी), और असम राइफल्स परीक्षा, 2024 में राइफलमैन (जीडी): पीईटी/पीएसटी टेस्ट के लिए उम्मीदवारों की सूची।"
- एसएससी जीडी परिणाम पीडीएफ स्क्रीन पर पीडीएफ प्रारूप में दिखाई देता है जिसमें पीईटी/पीएसटी के लिए अनंतिम रूप से शॉर्टलिस्ट किए गए चयनित उम्मीदवारों के रोल नंबर सूचीबद्ध होते हैं।
- अपना नाम/रोल नंबर दर्ज करें। यदि आपने अर्हता प्राप्त कर ली है, तो आपका नाम और रोल नंबर हाइलाइट हो जाएगा।
- भविष्य के रिकॉर्ड के लिए एसएससी जीडी रिजल्ट 2024 का प्रिंटआउट डाउनलोड करें और ले लें।
एसएससी जीडी शारीरिक परीक्षा: पीएसटी पीईटी एडमिट कार्ड
शॉर्टलिस्ट किए गए उम्मीदवार जिनके विवरण मेरिट सूची में हैं, उन्हें शारीरिक सहनशक्ति परीक्षण और शारीरिक मानक परीक्षण (पीएस) के लिए उपस्थित होने के लिए बुलाया जाएगा। सीएपीएफ द्वारा नियत समय में आयोजित किए जाने वाले पीएसटी/पीईटी के लिए एडमिट कार्ड नोडल सीएपीएफ (यानी सीआरपीएफ) द्वारा जारी किए जाएंगे। उम्मीदवारों को सलाह दी जाती है कि वे अधिक जानकारी के लिए सीआरपीएफ की वेबसाइट (यानी https://rect.crpf.gov.in) पर जाएं।
एसएससी जीडी कांस्टेबल भर्ती 2024 के जरिये 46 हजार पदों पर भर्ती की जानी है. जो उम्मीदवार इस लिखित परीक्षा में सफल हुए हैं उन्हें अगले चरण में सम्मिलित होना होगा. जिसकी जानकारी आयोग द्वारा जल्द ही दी जायेगी.
Comments
All Comments (0)
Join the conversation