CBSE Board Class 12 Mathematics MCQs (With Answers) 2024: Central Board of Secondary Education (CBSE) Board Exams 2024 are just around the corner and it is high time for students to pace themselves up and strengthen their preparation for the exams. The only method to secure good marks in board exams is to practise enough by using the right and authentic resources. Here, we have brought to you a list of 30 Multiple Choice Questions (MCQs) for Class 12 Mathematics with Answers for CBSE Board Exams 2024.
MCQs have been recently introduced in the CBSE curriculum for all the subjects. This change has been made along the lines of the National Education Policy (NEP) which focuses on shifting the focus of students from rote learning to practical learning. Find the list to perform better in the board exams. Also, use these as practise materials to easily and quickly solve the MCQ-type questions in the exams.
MCQs for Class 12 Mathematics
Find the list of the top 30 MCQs for Class 12 Maths with answers to each of the questions. We have ensured that MCQs from each of the chapters in the Class 12 Maths syllabus are covered for your reference. The list consists of frequently asked questions from the chapter.
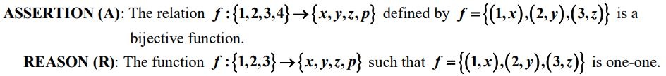
Q1. If
is continuous at x = 0 , then the value of k is
(a) −3 (b) 0 (c) 3 (d) any real number
Answer. (a)
Q2. 
Answer. (d)
Q3. ![]()
Answer. (b)
Q4. 
Answer. (c)
Q5. 
Answer. (d)
Q6. If A and B are invertible square matrices of the same order, then which of the following is not correct?

Answer. (d)
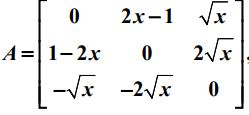
Q7. The value of |A|, if
, ![]()
(a) (2x+1)2 (b) 0
(c)(2x+1)3 (d) (2x-1)2
Answer. (b)
Q8. Given that A is a square matrix of order 3 and |A|= -2, then |adj(2A)| is equal to
(a) -26 (b) +4 (c) -28 (d)28
Answer. (d)
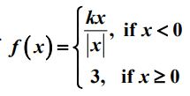
Q9. 
(a) -1 (b) 0 (c) 1 (d) 2
Answer. (b)
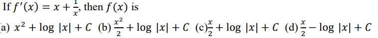
Q10. 
Answer. (c)
Find the CBSE Class 12 Maths MCQs PDF link in the table below
More questions will be shortly added to the PDF. Keep tuning in for more Class 12 Maths Multiple Choice questions.
How to Solve MCQ Questions
Multiple Choice Questions take away a lot of students' time during examinations. The best way to ensure that students quickly and easily solve MCQs in the exam, the following tips can be followed.
- Read the question carefully. In objective-type questions, students often do not read the instructions correctly and end up marking the wrong answer
- Check all the options provided to you one by one
- Solve the sum, if required, in a rough page so that you don't skip any important step along the way to answer
- Carefully pick the most appropriate answer
- Practise MCQs before sitting for the exams. This helps students solve the questions fast in the exam
Comments
All Comments (0)
Join the conversation