CAT Score Vs Percentile 2023: IIM Lucknow will announce the CAT 2023 percentile score with the result in the online mode. Along with other information, the CAT result contains two major components i.e., CAT Scaled Score and CAT percentile. The candidates will have to log in through their ID and password to check the CAT result. Every candidate who took the exam must know about CAT scaled score, CAT percentile, and how to calculate CAT percentile.
CAT 2023 Score Vs Percentile: What is the difference between CAT score and percentile?
As we mentioned CAT result contains two scores; one is scaled score and the other is percentile. CAT score is the total marks obtained by an aspirant in the exam. It is the sum of marks obtained in all three sections. However, the CAT percentile is a relative score obtained by categorising an aspirant based on their performance compared to other aspirants. It is calculated by ranking all the test takers based on their CAT scores.
What is CAT Percentile?
The CAT percentile is a relative score, signifying a candidate's marks in the CAT 2023 exam. It categorizes candidates based on their performance compared to other CAT test takers. For example, If a candidate achieves 99 percentile it means he/she performed better than 99% of all CAT test takers in that particular year.
CAT 2023 Marking Scheme
CAT 2023 exam will contain three subjects, Data Interpretation and Logical Reasoning (DILR), Verbal Ability and Reading Comprehension (VARC), and Quantitative Aptitude (QA). There will be 66 questions from these three sections for a total of 198 marks. CAT exam consists of Multiple choice questions (MCQ) and Type in the Answer (TITA) type of questions. The exam duration is 120 minutes with a sectional time of 40 minutes each. Check out the marking scheme of CAT 2023 below:
- For every correct answer, +3 marks will be awarded.
- For every incorrect answer, -1 mark will be deducted (only for MCQs).
- No negative marks for TITA questions.
Calculation of Scaled CAT Score for Three Slots
CAT 2023 shall be conducted on 26th November 2023 in three sessions. Three different test papers shall be used in three test sessions. In order to ensure fairness and equity in the comparison of the performances of candidates across different test sessions, the scores of candidates shall be Normalised. After normalisation across different papers, the scores shall be further normalised across different sections. The Scaled/Normalised Scores obtained by this process shall be converted into percentiles for purposes of shortlisting.
Scaled Score Calculation
IIM will follow the following steps to calculate the scaled score of a candidate in each of the three sections in CAT 2023. The overall scaled score is obtained by adding the scaled scores of these three sections.
Step 1: Calculate the mean and the standard deviation of the raw scores in a section for all candidates appearing in the morning session.
Step 2: Calculate the mean and the standard deviation of the raw scores in a section for all candidates appearing in the afternoon session.
Step 3: Calculate the mean and the standard deviation of the raw scores in a section for all candidates appearing in the evening session.
Step 4: Calculate the mean and the standard deviation of the raw scores in a section for all candidates appearing in CAT (i.e. including all three sessions).
Step 5: Calculate the mean raw score in a section of the top 0.1% candidates in the morning session
Step 6: Calculate the mean raw score in a section of the top 0.1% candidates in the afternoon session
Step 7: Calculate the mean raw score in a section of the top 0.1% candidates in the evening session
Step 8: Calculate the mean raw score in a section of the top 0.1% candidates appearing in CAT (i.e.considering all three sessions)
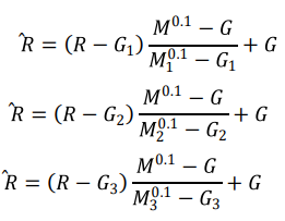
Step 9: Calculate the scaled score of a candidate in a section, using the following formula:

Where R = Raw Score, M = Mean, G = Sum of mean and standard deviation
Similar Method is applied for the computation of scaled scores for other sections.
If this formula yields any scaled score as more than 100, it will be rounded down to 100
CAT 2023 Percentile Score Calculations
Along with scaled score, the CAT result card also contains the CAT percentile score. Based on this percentile the candidate gets a call from different IIMs. The steps described below are followed to calculate the CAT overall and sectional percentile scores.
Step 1: Calculate the total number of candidates (N) who appeared for CAT (i.e. including morning, afternoon, and evening sessions).
Step 2: Assign a rank (r), based on the scaled scores obtained in a section, to all candidates who appeared for CAT. In the case of two or more candidates obtaining identical scaled scores in a section, assign identical ranks to all those candidates.
Step 3: Calculate the percentile score (P) of a candidate with rank (r) in a section as:
Step 4: Round off the calculated percentile score (P) of a candidate up to two decimal points.
![]()
The same method is used for the computation of the overall CAT percentile scores and for the percentile scores of other sections.
Expected CAT 2023 Percentile
The table given below is prepared by the experts after analysing the past year's trends. This will help the candidates to understand what set of marks they need to score in CAT 2023 exam to secure how much CAT percentile.
| Scaled Score | Expected Percentile |
| 100-110 | 99+ |
| 90-100 | 98 |
| 70-80 | 95+ |
| 50-65 | 90+ |
CAT Score Vs Percentile: Previous Years Trends
The table given below shows the CAT score and its percentile over the years. Although this data is prepared with the help of a certain number of students it can be slightly different from the actual one. But it will definitely give a fair idea about the score one needs to score to get the desired percentile.
Percentile | Score | |||||
| CAT 2023 (Out of 198) | CAT 2022 (Out of 198) | CAT 2021 (Out of 198) | CAT 2020 (Out of 228) | CAT 2019 (Out of 300) | CAT 2018 (Out of 300) | |
| 99.9 | ~107 | 110.72 | 120 | 131 | 196 | 192 |
| 99.5 | ~84 | 93 | 107 | 115 | 170 | 170 |
| 99 | ~76 | 82.5 | 97 | 102 | 157 | 155 |
| 95 | ~55 | 60 | 71 | 77 | 120 | 125 |
| 90 | ~44.5 | 48.5 | 59 | 63 | 90 | 110 |
Comments
All Comments (0)
Join the conversation