Absolute Value: Definition, Formula, Properties, Questions & More

Jun 25, 2021, 09:15 IST

Know the concept of absolute value and how do we calculate the absolute value of a number. Check solved examples for better clarification.

Absolute Value: Definition, Formula, Properties, Questions
Absolute Value: Definition, Formula, Properties, Questions

In mathematics, the absolute value  of a real number x, represented as |x|, is the non-negative value of x without regard to its sign.

Absolute value Formula: The absolute value formula or absolute value equation is an equation that contains an absolute value expression. It is represented as follows:

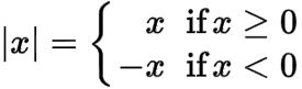
Thus,

|x| = x if x is positive,

|x| = −x if x is negative, and

|0| = 0.

→ Absolute value is also known as modulus.

→ |x| which is pronounced as 'Mod x' or 'Modulus of x'.

What is the meaning of absolute value?

The absolute value of a number represents its distance from 0 on a number line. We know that distance is always a non-negative quantity. That is why the absolute value is always non-negative. 

Basic properties of absolute value inequalities are:

Let x be a variable or an algebraic expression and a be the real number such that a>0. Then the following inequalities hold:

∣x∣ ≤a ⇔ −a ≤ x ≤ a

|x| ≥ a ⇔ x ≤ −a  or  x ≥ a

|x| < a ⇔ −a < x < a

|x| > a ⇔ x < −a  or  x > a

Some other properties of absolute value inequalities are:

|a + b| ≤ |a| + |b| if both a and b have the same sign, i.e. ab > 0

|a + b| ≤ |a| + |b| if both a and b have different sign, i.e. ab < 0

Some examples showing application of absolute value formula or absolute value inequalities are given below:

1. Solve |5 – 3x| = 12

Solution:

|5 – 3x| = 12

5 – 3x = 12    or    5 – 3x = –12

      –3x = 7      or    –3x = –7

     x = –7/3     or         x = 17/3

2. Solve |4x – 3|= |x + 6|

Solutions:

|4x – 3|= |x + 6|

4x – 3 = x + 6      or       4x – 3 = – (x + 6)

 3x = 9                     or       4x – 3 = – x – 6

  x = 3                      or         5x = –3

  x = 3                      or            x = –3/5

3. Solve |2x+3|<6

Solution:

|2x+3|<6

–6 < 2x+3 < 6

–6 –3 <2x + 3 – 3 < 6 –3

–9 < 2x < 3

−9/2 < x < 3/2

Thus, the solution to the given absolute value inequality is the interval (−9/2 < x < 3/2).

To get more such useful articles and important resources for CBSE Board Exam or Competitive Exam preparations, visit jagranjosh.com.

Gurmeet Kaur
Gurmeet Kaur

Assistant Manager

Gurmeet Kaur is an Education Industry Professional with 10 years of experience in teaching and creating digital content. She is a Science graduate and has a PG diploma in Computer Applications. At jagranjosh.com, she creates content on Science and Mathematics for school students. She creates explainer and analytical articles aimed at providing academic guidance to students. She can be reached at gurmeet.kaur@jagrannewmedia.com

... Read More

Get here latest School, CBSE and Govt Jobs notification and articles in English and Hindi for Sarkari Naukari, Sarkari Result and Exam Preparation. Empower your learning journey with Jagran Josh App - Your trusted guide for exams, career, and knowledge! Download Now

Trending

Latest Education News