CBSE Class 12 Maths Term 2 Exam Tomorrow: Check Practice Paper by Experts for Last Minute Revision

Jun 6, 2022, 14:30 IST

Get here the CBSE Class 12 Maths Practice Paper for Term 2 Exam 2022. This practice paper is created by experts and is best for last minute revision before tomorrow's Maths paper.

CBSE Class 12 Maths Practice Paper for Term 2 Exam 2022
CBSE Class 12 Maths Practice Paper for Term 2 Exam 2022

CBSE Class 12 Maths Practice Paper 2022: CBSE Class 12 Maths Term 2 Exam 2022 will be held tomorrow, June 07. Students who are going to appear for the Class 12 Maths Paper, can check here the Maths Practice Paper. This practice paper has been set by the experts according to the latest paper pattern. All the questions are very important from the exam point of view. Therefore, the CBSE Class 12 Maths Practice Paper 2022 is best for last minute revision and score good marks in the CBSE Class 12 Maths Term 2 Exam.  

Check CBSE Class 12 Maths Practice Paper for Term 2 Exam 2022 below:

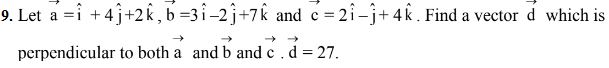
SECTION – A

1. Find ∫3x/(3x-1) dx

Or

Find ∫tan2(2x-3)dx

2. Find the particular solution of the differential equation (x+1)dy/dx = 2e-y - 1, given y(0) = 0.

CBSE Class 12 Maths Sample Paper, Marking Scheme for Term 2 Exam 2022

5. A die marked 1, 2, 3 in red and 4, 5, 6 in green is tossed. Let A be the event “number is even” and B be the event “number is marked red”. Find whether the events A and B are independent or not.

6. Find the probability distribution of X, the number of heads in a simultaneous toss of two coins.

SECTION – B

7. Find: ∫ sin3x.cos3x.dx

8. Find the general solution of the differential equation : 2x2dy/dx -2xy + y2 = 0.

OR

Find the general solution o f the differential equation: (xlogx)dy/dx + y = 2logx.

10. Find the equation of the plane passing through the points (0, –1, –1), (4, 5, 1) and perpendicular to the plane 3x + 10y + 5z +12 = 0

OR

Find the equation of the line passing through (1, –1, 1) and perpendicular to the lines joining the points(4, 3, 2), (1, –1, 0) and (1, 2, –1), (2, 2, 1).

SECTION – C

11. Evaluate :

12. Using Integration find the area of the region : {(x, y): y ≤x2+ 1, y≤x + 1, 0≤x≤2}.

OR

Using integration compute the area of the region bounded by the curves y2 = 4x and y = 2x.

13. Find the image of the point P(3, 2, 1) in the plane 2x – y + z + 1 = 0.

14. CASE-BASED/DATA-BASED

A doctor is to visit a patient. From the past experience, it is known that the probabilities that he will come by cab, metro, bike or by other means of transport are respectively 0.3, 0.2, 0.1 and 0.4. The probabilities that he will be late are 0.25, 0.3, 0.35 and 0.1 if he comes by cab, metro, bike and other means of transport respectively.

Based on the given information, answer the following questions.

(i) When the doctor arrives late, what is the probability that he comes by metro?

(ii) When the doctor arrives late, what is the probability that he comes by cab?

Gurmeet Kaur
Gurmeet Kaur

Assistant Manager

Gurmeet Kaur is an Education Industry Professional with 10 years of experience in teaching and creating digital content. She is a Science graduate and has a PG diploma in Computer Applications. At jagranjosh.com, she creates content on Science and Mathematics for school students. She creates explainer and analytical articles aimed at providing academic guidance to students. She can be reached at gurmeet.kaur@jagrannewmedia.com

... Read More

Get here latest School, CBSE and Govt Jobs notification and articles in English and Hindi for Sarkari Naukari, Sarkari Result and Exam Preparation. Empower your learning journey with Jagran Josh App - Your trusted guide for exams, career, and knowledge! Download Now

Trending

Latest Education News