Arc Length: Definition, Formula, Solved Examples & More

Jun 29, 2021, 20:26 IST

What is an arc and what are the various methods to find its length? Check all formulas along with solved examples to understand the application of all the formulas to calculate arc length.

Arc Length Formula
Arc Length Formula

What is Arc Length?

Arc length is the distance between two points along a section of a curve.

Or

Arc length can also be defined as the distance along the part of the circumference of a circle.

Arc Length Formula

Arc length can be calculated with the help of the central angle of that arc and the radius of the circle to which that arc belongs. The unit of the central angle can be in degrees or radians. So, depending upon the unit of the central angle the length of the corresponding arc can be found out using different formulas as mentioned below:

When the unit of central angle is in radians then

Arc length, s = θ × r

When the unit of central angle is in degrees then

Arc length, s = 2πr (θ/360o) = πr (θ/180o)

Where,

s = Length of arc

θ = Central Arc Length of Arc

r = Radius of the circle            

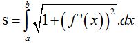
Arc length of a curve in integral form:

The arc length of a curve is given as

Where,

f′(x) = First integral of the given curve whose arc length is to be calculated

b = It is the upper limit of our definite integral that is the rightmost point of the given arc

a = It is the lower limit of our definite integral that is the leftmost point of the given arc

1. Let the angle subtended by an arc at the centre of the circle be 120o. If the circumference of the circle is 54 cm then find the arc length.

Solutions:

Given,

Central angle, θ = 120o

Circumference of circle, 2πr = 54 cm

Thus, arc length is

Thus the arc length comes to be 18 cm.

2. Find the central angle subtended by an arc whose length is 1/4 of the circumference of the corresponding circle.

Solution:

We know that circumference of the circle, C = 2πr

And Arc length, s = 2πr (θ/360o)

According to the question,

Hence, the central angle = 90o.

3.Find the arc length of the curve y = 4 between points x = 0 and x = 4.

Solution:

Given, f(x) = 4

Therefore, the required arc length is 4 units.

To get more such useful articles and important resources for CBSE Board Exam or Competitive Exam preparations, visit jagranjosh.com.

Gurmeet Kaur
Gurmeet Kaur

Assistant Manager

Gurmeet Kaur is an Education Industry Professional with 10 years of experience in teaching and creating digital content. She is a Science graduate and has a PG diploma in Computer Applications. At jagranjosh.com, she creates content on Science and Mathematics for school students. She creates explainer and analytical articles aimed at providing academic guidance to students. She can be reached at gurmeet.kaur@jagrannewmedia.com

... Read More

Get here latest School, CBSE and Govt Jobs notification and articles in English and Hindi for Sarkari Naukari, Sarkari Result and Exam Preparation. Empower your learning journey with Jagran Josh App - Your trusted guide for exams, career, and knowledge! Download Now

Trending

Latest Education News