CBSE Class 10 Maths Extra Questions for Chapter 7 - Coordinate Geometry are provided here to help students revise the important concepts for the upcoming CBSE Class 10 Maths Exam 2021. All these questions have been prepared by the subject matter experts. Questions based on the concepts discussed here can be asked in different formats in the exam. So, knowing the key concepts will make it easy to attempt various questions and thus obtain the desired marks in the board exam.
Check CBSE Class 10 Maths Extra Questions and Answers for Chapter 7 - Coordinate Geometry:
Q. Do the points (3, –5), (–7, 4) and (1, –2) form a triangle?
Answer:
Yes
Hint: Find the distances PQ, QR and PR where
P = (3, –5)
Q = (–7, 4) and
R = (1, –2)
Then, to prove that PQR form a triangle, show that the sum of any two of these distances is greater than the third distance.
Q. For (x1, y1), (x2, y2), (x3, y3) and (x4, y4) being the vertices of a quadrilateral, how to show that the quadrilateral is a square.
Answer:
Given four points will form a square if for P = (x1, y1), Q = (x2, y2), R = (x3, y3) and S = (x4, y4), we get
PQ = QR = RS = PS (all four sides are equal)
and PR = QS (both the diagonals are equal)
Use Distance Formula
![]()
to find all distances.
Q. If a point A(2p, p) is equidistant from two points B(2, –5) and C(–3, 6) then find the value of p.
Answer:
p = 8
Hint: Given A is equidistant from B and C.
∴ AB = AC
Use distance formula in AB = AC
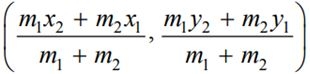
Q. What is Section Formula?
Answer:
Section formula is used to find the coordinates of the point P(x, y) which divides the line segment joining the points A(x1 , y1) and B(x2 , y2), internally, in the ratio m1 : m2 as:

Also Check:
NCERT Solutions for Class 10 Maths
Q. Let P divides the line segment A(2, –2) and B(–7, 4). Find the coordinates of P.
Answer:
P = (–1, 0)
Hint: Use the distance formula to find coordinates.
Q. Let the points P(k, 3), Q(4, 0) and R(6, –3) are collinear then find the value of k.
Answer:
k = 2
Hint:
If the given points are collinear, the area of the triangle formed by them will be 0.
i.e., ½ [x1(y2 – y3) + x2(y3 – y1) + x3(y1 – y2)] = 0
where,
P (k, 3)= (x1, y1)
Q (4, 0) = (x2, y2)
R (6, -3) = (x3, y3)
While making the exam preparations, students should go through the Revised CBSE Syllabus for Class 10 Maths so that they can avoid the deleted topics and prepare according to the topics that are prescribed by the board.
Also check:
CBSE Class 10 Maths Complete Package for Board Exam 2021 (Absolutely Free)
Comments
All Comments (0)
Join the conversation