Electrostatics: Definition, Examples, Formulas And FAQs

Jun 7, 2024, 15:46 IST

Electrostatics Definition, Examples, Formulas And FAQs: In this article, students can learn about the whole concept of Electrostatics in the easiest way possible. Keep reading the article to know more.

 Electrostatics: Definition, Examples, Formulas And FAQs
Electrostatics: Definition, Examples, Formulas And FAQs

What Is Electrostatics? 

Electrostatics is a branch of physics that deals with the properties of slow-moving electric charges. Electrostatic phenomena can be described with the help of Coulomb’s Law. 

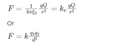
Coulomb’s Law of Electrostatics

We begin with the magnitude of the electrostatic force between two point charges that is Q and q. We can call q as the test charge and Q as a source charge. If r is the distance between the two, the formula can be: 

Electric Field 

Electric field lines will help you to visualise the electric field. Field lines begin with a positive charge and end with a negative charge. 

We show the charge with q or Q and the smallest unit charge is 1.6021 x 10-19 Coulomb (C).

Positively Charged Particles

When it comes to positively charged particles, the number is positive ions is more than that of negative ions. To neutralise this, electrons from the surroundings come to this particle until the number of protons and electrons becomes equal. 

Negatively Charged Particles

Here, the number of electrons is more than that of protons and to neutralise that electrons move to the ground as protons cannot cannot come to negative charges particles. 

Neutral Particles 

Neutral particles as the name suggests, contain an equal number of electrons and protons.

Examples Of Electrostatics

  • Photocopier and laser printer operation
  • The attraction of plastic wrap to your hand after you remove it from the package. 

FAQ’S 

1. How does electrostatics work?

Electrostatics works on the phenomenon of Coulomb’s law. Students can check the formula and the definition to understand the workings of electrostatics. 

2. Why electrostatic force is called a central force?

Since the force acts along the line joining two charges, this is the reason why electrostatic force is called a central force. 

Students can now easily learn about the concept from this article and understand the concept of Electrostatics more easily. 

Related Links

Maxwell’s Equation: Definition, Laws, Explanation And Formulas!

Refraction Of Light: Definition, Laws, Applications And FAQs

Akshita Jolly
Akshita Jolly

Content Writer

Akshita Jolly is a multimedia professional specialising in education, entertainment, fashion, health, and lifestyle news. Holding a degree in Journalism and Mass Communication, she has contributed to renowned media organisations, including the Press Trust of India. She currently serves as Executive – Editorial at Jagran New Media, where she writes, edits, and manages content for the School and News sections of the Jagran Josh (English) portal. She also creates engaging and informative videos for the Jagran Josh YouTube platform, helping to make educational content more accessible and dynamic. Her work has contributed to reaching over 10 million monthly users, reflecting both the impact and scale of her content. For inquiries, she can be reached at akshitajolly@jagrannewmedia.com.
... Read More

Get here latest School, CBSE and Govt Jobs notification and articles in English and Hindi for Sarkari Naukari, Sarkari Result and Exam Preparation. Empower your learning journey with Jagran Josh App - Your trusted guide for exams, career, and knowledge! Download Now

Trending

Latest Education News