NCERT Solutions for Class 12 Amines Chapter 9: Intext as well as exercise questions are essential for students. These questions might come in the 2025 Board examination. So it is important that students have access to the accurate and precise solutions to these questions. For subjects like Chemistry, students should be aware of the right approach to tackle the questions. To help students, we have provided the NCERT Solutions for Class 12 Chemistry Chapter 9 Amines here.
NCERT solutions are considered the best study material to score well in the board exams. These solutions help students to develop a clear understanding of subjects. At Jagran Josh, these solutions are prepared by subject experts to help students.
Also Read:
| CBSE Class 12 Chemistry Exam Pattern and Marking scheme 2024-25 |
Download the NCERT Solutions for Class 12 Chemistry Chapter 9 Amines from the direct link given in this article. The solutions have been given in PDF format so students can save and view the PDFs on phones, tablets, computers and laptops.
NCERT Class 12 Chemistry Chapter 9 Amines Solutions
Given below are solutions for intext questions from NCERT Class 12 Chapter 9 Amines. Download the pdf to get the solutions for all the exercise questions.
Intext Questions and Solutions Page no. 262
9.1 Classify the following amines as primary, secondary or tertiary:

Sol. (i) 1°
(ii) 3°
(iii) 1°
(iv) 2°
9.2 (i) Write structures of different isomeric amines corresponding to the molecular formula, C₄H₁₁N.
(ii) Write IUPAC names of all the isomers.
(iii) What type of isomerism is exhibited by different pairs of amines?
Sol. 
(iii) Chain isomers: (i) and (ii) ; (iii) and (iv) ; (i) and (iv)
Position isomers: (ii) and (iii) ; (ii) and (iv)
Metamers: (v) and (vi) ; (vii) and (viii)
Functional isomers: All the three types of amines are the functional isomers of each other.
Intext Questions and Solutions Page no. 265
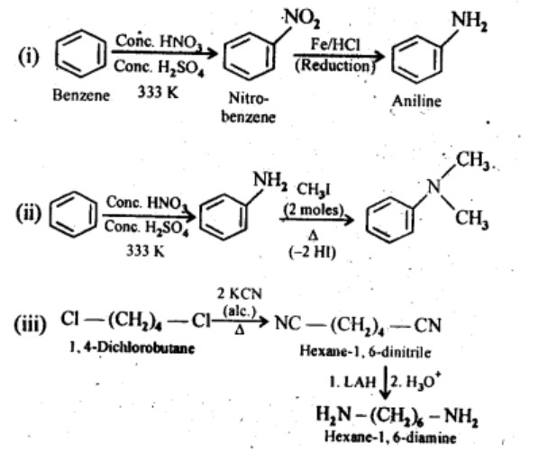
9.3 How will you convert (i) Benzene into aniline (ii) Benzene into N, N-dimethylaniline (iii) C1–(CH₂) ₄ –C1 into hexan-1,6-diamine?
Sol. 
Intext Questions and Solutions Page no. 274
9.4 Arrange the following in increasing order of their basic strength:
(i) C₂H₅NH₂, C₆H₅NH₂, NH₃ , C₆H₅CH₂NH₂ and (C₂H₅ )₂NH
(ii) C₂H₅NH₂,(C₂H₅ ) ₂NH, (C₂H₅ ) ₃N, C₆H₅NH₂
(iii) CH₃NH₂ ,(CH₃ ) ₂NH,(CH₃ ) ₃N, C₆H₅NH₂,C₆H₅CH₂NH₂.
Sol. 
9.5 Complete the following acid-base reactions and name the products: (i) CH₃CH₂CH₂NH₂+ HCl → (ii) (C₂H₅ ) ₃N + HCl →
Sol. 
9.6 Write reactions of the final alkylation product of aniline with excess of methyl iodide in the presence of sodium carbonate solution.
Sol. 
9.7 Write chemical reaction of aniline with benzoyl chloride and write the name of the product obtained.
Sol. 
9.8 Write structures of different isomers corresponding to the molecular formula, C₃H₉N. Write IUPAC names of the isomers which will liberate nitrogen gas on treatment with nitrous acid.
Sol. 

Intext Questions and Solutions Page no. 277
9.9 Convert (i) 3-Methylaniline into 3-nitrotoluene. (ii) Aniline into 1,3,5 - tribromobenzene.
Sol. 
To get solutions to all the intext and exercise questions in pdf, refer to the below link:
| Download NCERT Class 12 Chemistry Chapter 9 Amines Solutions PDF |
Also, check
- CBSE 12th Date Sheet 2025 Download PDF
- CBSE Class 12 Chemistry Competency-Based Questions With Answer Key 2024-25
- CBSE Class 12 Chemistry Topper Answer Sheet for 2025 Exams
- CBSE Class 12 Chemistry 30 Days Study Plan for 2025 Exam
- CBSE Class 12 Chemistry Previous Year Question Papers with Solutions PDF Download
- NCERT Solutions for Class 12 (2024-2025) All Subjects
- NCERT Books for CBSE Class 12 - Latest Edition
- NCERT Rationalised Content for Class 12
Related
Carbonic Acid: pH, Formula, Structure and Properties
Molar Mass And Percent Composition
Elements and Compounds: Definitions, Characteristics, Differences and Formation
How to Convert Celsius to Kelvin: Concept, Formula, and Major Differences
Comments
All Comments (0)
Join the conversation