CBSE Term 2 Class 12 Sample Paper 2022: Applied Mathematics (PDF)- Check Question Paper Pattern, Answers & Marking Scheme

Jan 28, 2022, 17:09 IST

Check CBSE Class 12 Applied Mathematics Sample Paper and Marking Scheme. Also download the PDF of the two below through the direct link. Students of class 12 would find the sample papers useful for their preparation for CBSE Class 12 Term 2 Board Exams. 

CBSE Board Applied Maths Sample paper Term 2
CBSE Board Applied Maths Sample paper Term 2

Check CBSE Sample Paper for Applied Mathematics Class 12th below. The sample paper and the marking scheme can be downloaded from the links shared below. CBSE has released the sample paper for the students to be better prepared for their exams. Check the question paper pattern and answers along with the marking scheme below. 

Also Read|

CBSE Term 2 Class 12 Physical Education Sample Paper 2022: Check Paper Pattern, Marking Scheme & Answers| CBSE Board Exam 2022

CBSE Class 12 Sample Papers 2021-22 [Term 2] Released With Answers & CBSE Marking Scheme: Download PDF

Term 2 CBSE Date Sheet 2022 Expected A Week After CBSE Term 1 Results 2021-22! Check Tentative Dates Of CBSE Practicals 

CBSE Class 12 Term 2 Sample Paper 2022: Applied Mathematics Marking Scheme & Paper Pattern

Candidates can note that the paper would have three sections consisting of various internal choices questions. Section A would have 2 marks questions, section B would have 3 marks questions and Section C would be having 4 questions. The paper would be conducted for two hours and would be of 40 marks. 

CBSE Class 12 Term 2 Sample Paper 2022: Applied Mathematics

1. The marginal revenue function for a commodity is given by 𝑀𝑅 = 9 + 2𝑥 − 6𝑥2

Find the demand function.

OR

The marginal cost of producing 𝑥 pairs of tennis shoes is given by

 𝑀𝐶 = 50 + 300/ x+1

If the fixed cost is ₹2000, find the total cost function

Ans. 

 Maths 1

2. Find the present value of a perpetuity of ₹600 at end of each quarter if money is worth 8% compounded quarterly.

Ans. 

Maths 2

3. What effective rate is equivalent to a nominal rate of 8% per annum compounded quarterly?

OR 

Find the present value of an annuity of ₹1000 payable at the end of each year for 5 years if money is worth 6% compounded annually.

[𝐺𝑖𝑣𝑒𝑛 (1.06) to the power of -5 = 0.7473]

Ans. 

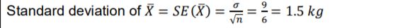
4. Sampling distribution of the sample means 𝑋 is formed from a population with mean weight 𝜇 = 60𝑘𝑔 and standard deviation 𝜎 = 9𝑘𝑔. What is the expected value and standard deviation of 𝑋, if the sample size is 36?

Ans. E(X) = 60𝑘g

5. Find the trend values using 3 yearly moving averages for the loans sanctioned to farmers by a particular branch of a bank in a village.

Year

2016

2017

2018

2019

2020

2021

Amount (in ₹ lakh)

25

30

32

40

45

50

Ans. 

For many questions like this click on the links shared below:

CBSE Sample Paper Class 12th Term 2: Download PDF Copy of Applied Mathematics paper

CBSE Sample Paper Class 12th Term 2: Download PDF Copy of Marking Scheme of Applied Mathematics

Tulika Tandon is an Education Reporter & Writer with an experience of 5+ years. An MBA graduate and a long-time UPSC aspirant, she has devoted her life to helping the students find the right path to success. In her free time, Tulika likes to read, travel or bake. Read her stories in GK, UPSC and School sections at Jagranjosh.com. She can be reached at tulika.tandon@jagrannewmedia.com.
... Read More

Get here latest School, CBSE and Govt Jobs notification and articles in English and Hindi for Sarkari Naukari, Sarkari Result and Exam Preparation. Empower your learning journey with Jagran Josh App - Your trusted guide for exams, career, and knowledge! Download Now

Trending

Latest Education News