CBSE Class 12 Electromagnetic Induction Formula List: Download PDF

Jun 11, 2024, 16:59 IST

Electromagnetic Induction Formula Sheet Class 12: This article presents Class 12 Physics Chapter 6 Electromagnetic Induction class 12 formulas along with PDF download link of the same. Also, check the list of physical quantities, standard values, and more essential details that are a part of the chapter.

Get here Electromagnetic Induction Class 12 Formula Sheet PDF
Get here Electromagnetic Induction Class 12 Formula Sheet PDF

Electromagnetic Induction Formula Sheet Class 12: The formula sheet of Electromagnetic Induction Class 12 has been provided below for students who have opted for Physics as one of their core subjects in their high school. Students can check the complete list of formulas of emi here and use the same for future reference. Formula sheets are quite handy and easy to use and refer to whenever required. All those who wish to carry the formula sheet with them to their schools, and tuitions, or paste them on their wall for easy remembrance, can save the formulas and get a printout of the same. These sheets will not only assist you in memorizing the formulas but also make your revision and exercise-solving easier and convenient. Also, check the list of physical quantities mentioned in the chapter. It is important for students to understand these quantities and know their symbols, units, and dimensions by heart. They often come into use while solving tricky numerical problems. 

Electromagnetic Induction Class 12 Formula Sheet

Check all the electromagnetic induction class 12 formulas below along with detailed mentions of the symbols. Students can also understand the meaning of the symbols used in the mathematical equations presented below. 

  • Magnetic Flux

, where B is the uniform magnetic field, A is the area, and θ is the angle between B and A. 

  • Faraday’s Law of Induction

, where ε is the electromotive force

  • Total Induced EMF in Closely Wound Coil

, where ε is the electromotive force and N is the number of turns in a coil

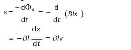
  • Motional Electromotive Force

, where B is the magnetic field, l is the length and v is the speed

  • Inductance

, where is the flux linkage, 

  • Mutual Inductance

, where M is mutal inductance, μr is the medium of relative permeability, μo n1 n2 is the magnetic field due to current I in Solenoid S and l is the length 

  • Self Inductance of a long solenoid

,  μr is the medium of relative permeability, A is the area, l is the length

  • Self induced EMF

  • Motional emf produced in AC Generator

, where N is the number of turns in a coil, A is the area, B is the magnetic field

Electromagnetic Induction Physical Quantities

Check the physical quantities referred to in Class 12 Physics Chapter 6, Electromagnetic Induction and get to know about the values, dimensions, symbols, units, and more important details. 

Quantity

Symbol

Units

Dimensions

Equations

Magnetic Flux 

ɸB

Wb (weber)

[M L2 T –2 A–1]

ɸB = B . A

EMF

ε

V (volt)

[M L2 T –3 A–1]

ε= -d (NɸB )dt

Mutual Inductance

M

H (henry)

[M L2 T–2 A–2]

ε1 = -M12 (dl2 /dt)

Self Inductance

L

H (henry)

ML2T-2A-2

ε = -L (dl/dt)

Students can also find links to formula sheets of all chapters of Class 12 Physics from the link below. Click on the link of the chapter you want to check the formula sheet for and download the same by using the PDFs attached. 

Also Find: 

Physics Class 12 Formulas (All Chapters)

Tanisha Agarwal
Tanisha Agarwal

Junior Content Writer

Hi! I am Tanisha Agarwal, a journalism and mass communication graduate from Times School of Media, Bennett University. With my first job as a content writer in Jagran New media, I look forward to creating powerful content and exploring every opportunity that lies on my way. I believe that words have the capability of moving rocks and I wish to do the same.
... Read More

Get here latest School, CBSE and Govt Jobs notification and articles in English and Hindi for Sarkari Naukari, Sarkari Result and Exam Preparation. Empower your learning journey with Jagran Josh App - Your trusted guide for exams, career, and knowledge! Download Now

Trending

Latest Education News