RBSE Class 10 Maths Model Paper 2025: The Board of Secondary Education Rajasthan has made available the 2024-25 model papers for Class 10 students. These model papers are essential for the 2025 board exams. Here we have given the RBSE Class 10 Maths Model Paper 2024-25.
Students must check the blueprint and design of the question paper carefully as the same will be adopted in the exams. Continue reading to download the RBSE Board Class 10 Maths Model Paper 2024-25 in pdf for free.
Also Check: RBSE Class 10 Maths Syllabus 2024-25
RBSE Class 10 Maths Model Paper 2024-25
The Rajasthan Board sample papers are an important resource as they help students to understand the question paper pattern and marking scheme. Check the below questions from the RBSE Class 10 Maths Model Paper.
SECTION- A
Choose the correct answer from multiple choice question- (i to xvi) and write in given answers book.
(i) LCM of 6 and 20 by the prime factorization method is -
(A) 2
(B)120
(C) 60
(D) 6
(ii) Sum of the zeros of polynomial x2-7x+12 is -
(A) -7
(B) 7
(C) 12
(D) -12
(iii) In the equation 3x+ 2y =7, if the value of x is 5, then the value of y is -
(A) 4
(B) -8
(C) -4
(D) 0
(iv) In the given figure DE II BC, AD = 1.5 cm, DB = 3 cm and AE = 2 cm, then the value of EC is -

(A) 6 cm
(B) 4 cm
(C) 4.5 cm
(D) 3.5 cm
(v) The distance between the points (2,3) and (5,6) is -
(A) 2√3
(B) 3√2
(C) 18
(D) 6
(vi) If θ=45° then the value of 1-cos2θ/sin 2θ is-
(A) 1/2
(B) 2
(C) 0
(D) 1
(vii) If the ratio of length of vertical rod and length of its shadow is 1: √3 then the angle of elevation of sun is-
(A) 30°
(B) 45°
(C) 60°
(D) 90°
(viii) If tangents PA and PB from a point P to a circle with center O are inclined to each other at angle of 80° then ∠POA is equal to -
(A) 50°
(B) 60°
(C) 70°
(D) 80°
(ix) The circumference of incircle of a square with side 14 cm is -
(A) 22 cm
(B) 44 cm
(C) 33 cm
(D) 55 cm
(x) Length of an arc of a sector of angle is -
(A) θ/180° × 2πr
(B) θ/360° × 2πr
(C ) θ/90° × 2πr
(D) θ/720° × 2πr
(xi) The perimeter of surface of a cube is 28 cm, then the volume of the cube is -
(A) 343 cm3
(B) 196 cm3
(C) 294 cm3
(D) 4144 cm3
(xii) A coin is tossed twice. The probability of getting at least one head is -
(A) 1/4
(B) 1/2
(C) 3/4
(D) 1
(xiii) The lowest number, when multiplied by √27 gives a natural number is -
(A) 3
(B) √3
(C) 9
(D) 3√3
(xiv) Zeros of polynomial x2- x-6 are -
(A) 1,6
(B) 2,-3
(C) 3,-2
(D) 1,-6
(xv) In equation is 3x-5y+K =0, if x=2 and y=-2 then the value of K is -
(A) 16
(B) -6
(C) 6
(D) -16
(xvi) AD and PM are medians of triangle ABC and PQR respectively, where △ABC~△PQR, if AB:PQ = 3:5 then AD:PM is -
(A) 5:3
(B) 9:25
(C) 3:5
(D) 25:9
(xvii) From the top of 10m high tower, angle of depression at a point on earth is 30° , distance of point from base of tower is -
(A) 10√3 m
(B) 10/√3 m
(C ) 10 m
(D) 5√3 m
(xviii) The shadow of a vertical pillar is same the height of pillar, the angle of elevation of sun will be -
(A) 45°
(B) 30°
(C) 60°
(D) 50°
2. Fill in the blanks (i to vi).
(i) The arithmetical mean of distribution 3,7,9,x,5 is 6, then value of x will be …………
(ii) If distance between points (3,a) and (4,1) is √10 then a will be .................
(iii) The value of 2sin2 60° cos 60 ° is ................
(iv) The volume of cylinder whose height is 21cm and area of its one end is 154cm2 , will be .........
(v) The mode of the distribution 3,5,7,4,2,1,4,3,4 is .............
(vi) ............... numbers between 10 and 250 are multiples of 4.
3. Very short answer type questions-
(i) Find the radius of the circle whose area is 49πcm2 .
(ii) Find the probability of getting an even number on throwing a dice.
(iii) Find the length of the diagonal of a cube of side 10cm.
(iv) If the radius of base of a right circular cone is 5cm and height is 12cm then find the slant height of the cone.
(v) Find the median of the distribution 1,3,2,5,9,11.
(vi) Find the mean of the distribution 3,7,5,2,6.
(vii) If P(A)=0.65, then find the probability of "not A".
(viii) Write the formula to find the volume of a cone.
(ix) Find the class mark of the class interval (10-25).
(x) A box contains 7 blue and 3 white marbles. If a marble drawn at random from the box, what is the probability that it will be "white"?
(xi) If volume of cylinder is 448πcm3 and height is 7 cm then find radius of cylinder.
(xii) Find the arithmetic mean of the first 10 odd natural numbers.
SECTION-B
4. Prove that 3+2 √5 is irrational.
5. Find the zeros of the polynomial x2- 3 and verify the relationship between the zeroes and the coefficient.
6. The sum of a two-digit number obtained by reversing the digit is 66, if the digit of number differ by 2, find the number, how many such numbers are there.
7. If the sum of the first 14 terms of an A.P. is 1050 and its first term is 10, find the 20th term.
8. In given figure△ODC~△OBA , ∠𝐵𝑂𝐶 = 125° and ∠CDO=70° then find ∠OAB.

9. Find the coordinates of the points of trisection of the line segment joining the points A(2,-2) and B(-7,4).
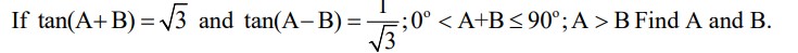
10. ![]()
11. A tower stands vertically on the ground. from a point on the ground which is 15m away from the foot of the tower, the angle of elevation of the top of the tower is found to be 600 , find the height of the tower.
12. Two concentric circle are of radil 5cm and 3cm. find the length of the chord of the larger circle which touches the similler circle.
13. A chord of a circle of radius 12cm subtends an angle of 120° at the centre. find the area of the corresponding segment of the circle.
To download the complete model paper along with the blueprint, refer to the link below:
Also, check
Comments
All Comments (0)
Join the conversation