CBSE Class 12 Maths Pre-Board Sample Paper 2025 With Solutions, Download PDF

Dec 27, 2024, 13:41 IST

CBSE 12th Pre-Board Paper 2025 Mathematics: This article comprises a moderate-level pre-board question paper for CBSE Class 12 Maths. Students can solve this paper and prepare for the final board exams.

Get here CBSE 12th Pre-Board Paper 2025 Mathematics PDF.
Get here CBSE 12th Pre-Board Paper 2025 Mathematics PDF.

CBSE Class 12 Mathematics Pre-Board Sample Paper: The Central Board of Secondary Education (CBSE) has released the 2025 exam schedule for classes 10 and 12. This CBSE Date Sheet 2025 is a sign that students and teachers become active to prepare effectively for the board exams.

Class 12 is the final benchmark for school life, and thus students must give all their efforts to achieve the highest marks possible. The only way to achieve this is by solving as many question papers as possible. Teachers must frame a variety of question papers for pre-boards to provide all the relevant information and exposure to tackle the CBSE 12th Board exams. Get here the expertly designed CBSE Class 12 Maths practice paper for your 2nd pre-board.

For Other Subjects Check | CBSE Class 12 Pre-Board Question Papers (All Subjects)

CBSE Class 12 Maths Pre-Board Sample Questions 2025

Here is the practice paper you must solve before your final board exam to give you a series of questions that you might get in your exam paper. Scroll down to check and download the CBSE 12th Maths Pre-Board practice paper 2025.

SECTION A (Multiple Choice Questions)

Each question carries 1 mark

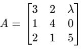
  1. If is a singular matrix, then the value of λ is:

(a) λ=5

(b) λ≠5

(c) λ=50/7

(d) λ≠−5

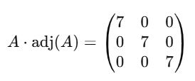
  1. If A = [aij] is a square matrix of order 3 such that , then the value of |A|+|adj A| is

        (a)                    (b)                       (c)                       (d) 350

  1. If A is the set of cities, and a relation R on set A is defined as R={(x,y): xand y are directly connected by a road}, then relation R is:

(a) Reflexive but not symmetric

(b) Symmetric but not transitive

(c) Reflexive and transitive

(d) Equivalence

  1. If A is a square matrix of order 2 such that ∣A∣=3, then the value of ∣2A∣ is:

(a) 6

(b) 12

(c) ±12

(d) 24

  1. If , α and β are roots of equation |2x x 3x| = 5, then value of is α + β is,

      (a) 2/3          (b) -5/2                (c) 3/2                      (d) -2/5

  1. If the function f(x)=∣x−1∣+∣x+2∣ is not differentiable at p and q, then the value of p+q is:

(a) 1

(b) -1

(c) 0

(d) 3

              (a) 1              (b)                 (c) 1/                     (d) -1

  1. If then the value of A2+ B2 is

                 (a) 2x             (b) 0                  (c) 1                      (d) π

  1. The direction cosine of a line equally inclined to the axes is?

           (a) 1, 1, 1        (b) ±1, ±1,±1       (c) 1/√3 , 1/√3 , 1/√3               (d) 1, 0, 0

  1. Let A and B be two events. If P(A)=0.3, P(A) P(B)=0.5, P(A∪B)=0.7, then P(A∣B) is:

(a) 0.4

(b) 0.6

(c) 0.2

(d) 0.5

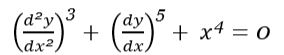
  1. If m is the order and n is the degree of given differential equation,  then what is the value of   m + n 

(a) 5             

(b) 9                 

(c) 4                     

(d) 7

  1. If then C is equal to

(a) 65/66 

(b) 24/65   

(c) 16/65           

(d)    56/65

  1. If magnitude of vector is ‘3 units’ then the value of  is

 (a)  1/3                           

(b) √3                  

(c)  1/√3         

(d) √3

  1. The Integrating factor of the differential equation (x log x)+y=2 log x ,is given by

 (a)log(log x ) 

(b)ex 

(c) log x   

(d)x 

  1. The direction ratio of the line is

 (a) 4,  3,  6   

(b) 2, 3, - 6 

(c) 2, -3, 6   

(d) – 2,  -3,  -6

Answer Key:

1

2

3

4

5

6

7

8

9

10

C

B

B

C

C

C

A

C

C

C

11

12

13

14

15

         

A

D

D

C

C

         

To have this complete question paper and its solution in PDF, click on the links below:

Download CBSE Class 12 Maths Pre-Board Sample Paper 2025 PDF

Download CBSE Class 12 Maths Pre-Board Paper Answer Key PDF

Also Check | CBSE Class 12 Deleted Syllabus 2025

CBSE Class 12 Maths Exam 2025

The CBSE Class 12th Mathematics and Applied Mathematics paper 2025 exam is scheduled for 08 March. The day will be saturday and the timings will be from 10:30 AM - 01:30 PM. Students of Science, Commerce and Humanities who have opted for Maths must mark this date and start preparing for the exam. Solve all the sample papers, previous year questions and other pre-board papers to become competent enough to tackle the board exam. Get the other related links and study resources from below:

Atul Rawal
Atul Rawal

Executive

Meet Atul, he is a Master of Science in the field of biotechnology. He has a counting experience in the field of Ed-tech and is proficient in content writing. Atul is a creative person and likes to color his ideas on canvas. He is a graduate of the University of Delhi in Biochemistry. Constant learning is one of his traits and he is devoted to the school section of Jagran Josh. His belief is to help students in all possible ways. He can be reached at atul.rawal@jagrannewmedia.com

... Read More

Get here latest School, CBSE and Govt Jobs notification and articles in English and Hindi for Sarkari Naukari, Sarkari Result and Exam Preparation. Empower your learning journey with Jagran Josh App - Your trusted guide for exams, career, and knowledge! Download Now

Trending

Latest Education News