CBSE Class 10 Science Top 50 MCQs for Half Yearly Exam 2025-26 with Answers: Download PDF

Sep 15, 2025, 11:45 IST

Check Top 50 MCQs for CBSE Class 10 Science Half Yearly Exam 2025
Check Top 50 MCQs for CBSE Class 10 Science Half Yearly Exam 2025

CBSE Class 10 Science MCQs: Multiple Choice Questions (MCQs) carry significant weightage in the CBSE Class 10 Science exam, with almost 20 marks assigned to this section alone. Preparing well for this section can help students secure full marks and improve their overall score. To help students in their half-yearly exam preparation, we have compiled the Top 50 Science MCQs with answers. These questions are based on important topics and previous year trends, making them perfect for last-minute revision.

Why Practice CBSE Class 10 Science MCQs?

  • Covers Physics, Chemistry, and Biology chapters from the Class 10 syllabus.
  • Designed as per the latest CBSE exam pattern (2025-26).
  • Curated by subject experts after analyzing previous year papers.
  • All questions are provided with correct answers for self-assessment.
  • Helps in quick revision and boosts confidence before the half-yearly exam.
  • Improves speed, accuracy, and conceptual clarity for scoring full marks.

Find below the Top 50 MCQs for CBSE Class 10 Science Half Yearly Exam 2025-26 with answers to help you revise and strengthen your preparation.

Also Check CBSE Class 10 Science Sample Paper for Half Yearly Exam 2025

TOP 50 MCQs for CBSE Class 10 Science Half Yearly Exam 2025

1. The metals obtained from their molten chlorides by electrolytic reduction are:

a) Gold and Silver
b) Calcium and Magnesium
c) Aluminium and Silver
d) Sodium and Iron

Answer: b) Calcium and Magnesium

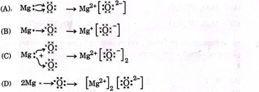
2. The formation of Magnesium Oxide is correctly shown by:

cbse-class-10-scinece-mcq-image7

Answer: A) Mg → loses 2e⁻, O → gains 2e⁻

3. When element A loses electrons and element B gains electrons to form compound C, which property will C NOT show?

a) High melting point
b) Highly soluble in water
c) Strong electrostatic force between ions
d) Conducts electricity in solid state

Answer: d) Conducts electricity in solid state

4. Which products are formed when Aluminium and Magnesium burn in air?

a) Al₃O₄ and MgO₂
b) Al₂O₃ and MgO
c) Al₃O₄ and MgO
d) Al₂O₃ and MgO₂

Answer: b) Al₂O₃ and MgO

5. During electrolysis of water, the ratio of masses of hydrogen to oxygen liberated (MH : MO) is –

a) 8 : 1
b) 2 : 1
c) 1 : 2
d) 1 : 8

Answer: b) 2 : 1

6. The breakdown of glucose takes place in cytoplasm and then in absence of oxygen in muscles it forms –

a) Alcohol
b) Acetic acid
c) Lactic acid
d) Citric acid

Answer: c) Lactic acid

7. If pea plants with round green seeds (RRyy) are crossed with wrinkled yellow seeds (rrYY), the F1 generation will produce –

a) 50% round and green
b) 75% wrinkled and green
c) 100% round and yellow
d) 75% wrinkled and yellow

Answer: c) 100% round and yellow

8. The plant hormone which promotes cell elongation on the shady side of a shoot is –

a) Cytokinin
b) Gibberellin
c) Auxin 
d) Adrenaline

Answer: c) Auxin

9. Tooth enamel (Ca-hydroxyapatite) starts corroding in the mouth when the pH is –

a) 7
b) 5
c) 10
d) 14

Answer: b) 5

10. In a terrestrial ecosystem, the percentage of solar energy not converted into food energy is about

a) 1%
b) 10%
c) 90%
d) 99%

Answer: d) 99%

11. The visibility of smoke particles in a dark room when a beam of sunlight enters through a hole is due to –

a) Dispersion of light
b) Reflection of light
c) Internal reflection
d) Scattering of light

Answer: d) Scattering of light

12. Mirror X is used in solar furnace and Mirror Y as a rear-view mirror. Which is correct?

a) X forms real, diminished image at focus and Y forms virtual, diminished erect image
b) X forms virtual, diminished image and Y forms real, diminished image
c) Both X and Y form virtual images
d) Both X and Y form real images

Answer: a) X real diminished, Y virtual erect

13. Assertion (A): Ozone levels dropped sharply after 1980.

Reason (R): O atoms combine with O₂ to form ozone.
a) Both A and R true, R explains A
b) Both A and R true, R not explanation
c) A true, R false
d) A false, R true

Answer: b) Both true, R not explanation

14. Assertion (A): No two magnetic field lines cross each other.

Reason (R): A compass cannot point in two directions simultaneously.
a) Both A and R true, R explains A
b) Both A and R true, R not explanation
c) A true, R false
d) A false, R true

Answer: a) Both true, R correct explanation

15. Assertion (A): Human child bears all basic features of human beings.

Reason (R): It looks exactly like its parents.
a) Both A and R true, R explains A
b) Both A and R true, R not explanation
c) A true, R false
d) A false, R true

Answer: c) A true, R false

16. Assertion (A): Decomposition reactions are generally endothermic.

Reason (R): Decomposition of organic matter into compost is exothermic.
a) Both A and R true, R explains A
b) Both A and R true, R not explanation
c) A true, R false
d) A false, R true

Answer: b) Both true, R not explanation

17. A current of 1 A is drawn by a filament bulb. The number of electrons passing per second is –

a) 7 × 10¹⁸
b) 5 × 10¹⁸
c) 1 × 10¹⁹
d) 14 × 10¹⁸

Answer: a) 7 × 10¹⁸

18. Which law is obeyed in the reflection of light from a plane mirror?

a) Snell’s Law
b) Ohm’s Law
c) Law of Reflection
d) Faraday’s Law

Answer: c) Law of Reflection

19. Image formed by a concave mirror when the object is beyond 2F is –

a) Virtual, erect, magnified
b) Real, inverted, diminished
c) Real, inverted, magnified
d) Virtual, diminished

Answer: b) Real, inverted, diminished

20. The colour of the sky appears blue because of –

a) Reflection of sunlight
b) Dispersion of light
c) Scattering of light
d) Refraction of light

Answer: c) Scattering of light

21. Which group does NOT represent a food chain?

a) Wolf → Rabbit → Grass → Lion
b) Plankton → Man → Grasshopper → Fish
c) Hawk → Grass → Snake → Frog
d) Grass → Snake → Wolf → Tiger

Answer: b) Plankton → Man → Grasshopper → Fish

22. The secretion of less saliva in the mouth will affect the conversion of –

a) Proteins → Amino acids
b) Fats → Fatty acids & Glycerol
c) Starch → Simple sugars
d) Sugars → Alcohol

Answer: c) Starch → Simple sugars

23. Which phenomenon makes sunlight beam visible in a smoke-filled room?

a) Dispersion
b) Reflection
c) Internal reflection
d) Scattering

Answer: d) Scattering

24. The hormone secreted during fear or emergency situation is –

a) Auxin
b) Adrenaline
c) Cytokinin
d) Gibberellin

Answer: b) Adrenaline

25. Which statement about bisexual flowers is correct?

a) They cannot produce fruits
b) They have both stamen & pistil
c) They only undergo cross-pollination
d) They only undergo self-pollination

Answer: b) They have both stamen & pistil

26. Which image is always virtual, erect and diminished?

a) Concave lens
b) Convex lens
c) Concave mirror
d) Plane mirror

Answer: a) Concave lens

27. A mild non-corrosive basic salt used for faster cooking is –

a) Sodium carbonate
b) Baking soda (NaHCO₃)
c) Washing soda
d) Common salt

Answer: b) Baking soda (NaHCO₃)

28. The products obtained during electrolysis of brine are –

a) H₂, O₂, NaOH
b) H₂, Cl₂, NaOH
c) H₂, Cl₂, HCl
d) Na, O₂, Cl₂

Answer: b) H₂, Cl₂, NaOH

29. Which law states that incident ray, reflected ray and normal lie in the same plane?

a) Snell’s Law
b) Second Law of Reflection
c) Faraday’s Law
d) Joule’s Law

Answer: b) Second Law of Reflection

30. In a human female reproductive system, the function of fallopian tube is –

a) Nourishes embryo
b) Site of fertilisation
c) Produces eggs
d) Provides birth canal

Answer: b) Site of fertilisation

31. A prism ABC (with BC as base) is placed in different orientations. A narrow beam of white light is incident on the prism as shown in figure. In which of the following cases, after dispersion, the third colour from the top corresponds to the colour of the sky?

cbse-class-10-scinece-mcq-image1
(a) (a)
(b) (b)
(c) (c)
(d) (d)
Answer: (b)

32. Two heater wires of equal length are first connected in series and then in parallel with a battery. The ratio of heat produced in the two cases is:
(a) 2 : 1
(b) 1 : 2
(c) 4 : 1
(d) 1 : 4
Answer: (d) 1 : 4

33. An electron beam enters a magnetic field at right angles to it as shown in the figure.

cbse-class-10-scinece-mcq-image2 

The direction of force acting on the electron beam will be:
(a) to the left
(b) to the right
(c) into the page
(d) out of the page
Answer: (d) out of the page

34. A beam of light is incident through the holes on side A and emerges out of the holes on the other side B as shown in the figure below:

cbse-class-10-scinece-mcq-image3
Which of the following could be inside the box?
(a) Concave lens
(b) Rectangular glass slab
(c) Prism
(d) Convex lens
Answer: (d) Convex lens

35. The refractive index of flint glass is 1.65 and that for alcohol is 1.36 with respect to air. What is the refractive index of the flint glass with respect to alcohol?
(a) 0.82
(b) 1.21
(c) 1.11
(d) 1.01
Answer: (b) 1.21

36. The least distance of distinct vision for a young adult with normal vision is about:
(a) 25 m
(b) 2.5 cm
(c) 25 cm
(d) 2.5 m
Answer: (c) 25 cm

37. The slope of voltage (V) versus current (I) is called:

cbse-class-10-scinece-mcq-image4
(a) Resistance
(b) Conductance
(c) Resistivity
(d) Conductivity
Answer: (a) Resistance

38. Inside the magnet, the field lines move—
(a) from north to south
(b) from south to north
(c) away from south pole
(d) away from north pole
Answer: (b) from south to north

39. Every food chain in the ecosystem begins with ……… which is the original source of food.
(a) Saprophytes
(b) Parasites
(c) Producers
(d) Consumers
Answer: (c) Producers

40. The image shows the bread moulds on a bread. How do these fungi obtain nutrition?

cbse-class-10-scinece-mcq-image5
(a) by eating the bread on which it is growing
(b) by using nutrients from the bread to prepare their own food
(c) by breaking down the nutrients of bread and then absorbing them
(d) by allowing other organisms to grow on the bread and then consuming them
Answer: (c) by breaking down the nutrients of bread and then absorbing them

41. The brain is responsible for:
(a) thinking
(b) regulating the heart beat
(c) balancing the body
(d) all of the above
Answer: (d) all of the above

42. In the below figure the parts A, B and C are sequentially:

cbse-class-10-scinece-mcq-image6
(a) Cotyledon, plumule and radicle
(b) Plumule, radicle and cotyledon
(c) Plumule, cotyledon and radicle
(d) Radicle, cotyledon and plumule
Answer: (a) Cotyledon, plumule and radicle

43. Identify the totally impossible outcome of Mendel’s Experiment (cross breeding pure bred tall and short pea plants)
(a) 3 tall 1 short plant
(b) 24 tall and 8 short plants
(c) 8 tall and 0 short plants
(d) 4 tall plants and 1 medium-height plant
Answer: (d) 4 tall plants and 1 medium-height plant

44. The longest fiber on the cell body of a neuron is called
(a) sheath
(b) cytoplasm
(c) axon
(d) dendrites
Answer: (c) axon

45. Vegetative propagation refers to formation of new plants from
(a) stem, flowers and fruits
(b) stem, leaves and flowers
(c) stem, roots and flowers
(d) stem, roots and leaves
Answer: (d) stem, roots and leaves

46. A section of DNA providing information for one protein is called—
(a) Nucleus
(b) Chromosomes
(c) Trait
(d) Gene
Answer: (d) Gene

47. The nature of image formed by a convex mirror when the object distance from the mirror is less than the distance between pole and focal point (F) of the mirror would be
(a) real, inverted and diminished in size
(b) real, inverted and enlarged in size
(c) virtual, upright and diminished in size
(d) virtual, upright and enlarged in size
Answer: (c) virtual, upright and diminished in size

48. If a man’s face is 25 cm in front of concave shaving mirror producing erect image 1.5 times the size of face, focal length of the mirror would be
(a) 75 cm
(b) 25 cm
(c) 15 cm
(d) 60 cm
Answer: (a) 75 cm

49. A couple has two sons and three daughters. What is the possibility of their having a girl as sixth child?
(a) 10 %
(b) 50 %
(c) 90 %
(d) 100 %
Answer: (b) 50 %

50. What is the order of the waste management hierarchy, from most to least favored?
(a) Prevention–Recycle–Reuse–Disposal
(b) Prevention–Reuse–Disposal–Recycle
(c) Prevention–Disposal–Reuse–Recycle
(d) Prevention–Reuse–Recycle–Disposal
Answer: (d) Prevention–Reuse–Recycle–Disposal

Download Top 50 MCQs for CBSE Class 10 Science Half Yearly Exam 2025 in PDF

These Top 50 MCQs for CBSE Class 10 Science Half Yearly Exam 2025-26 cover all major chapters of Physics, Chemistry, and Biology, aligned with the latest exam pattern. Practicing these questions will help students strengthen conceptual clarity and score higher marks in the upcoming exams.

CBSE Class 10 Science Important MCQ Chapters for Half Yearly Exam 2025-26

Based on previous exam analysis and expert suggestions, the following chapters are considered most important for the MCQ section in the CBSE Class 10 Scinece Half-Yearly xam 2025:

  • Physics: Light – Reflection and Refraction, Electricity

  • Chemistry: Chemical Reactions and Equations, Acids, Bases and Salts

  • Biology: Life Processes, Control and Coordination

These chapters are known to carry more MCQs in school exams. Students should revise formulas, diagrams, and NCERT-based objective questions from these topics to secure maximum marks.

Also Check|

CBSE Class 10 Science Chapter-Wise MCQs

CBSE Class 10 Science Mind-Map

Gurmeet Kaur
Gurmeet Kaur

Assistant Manager

Gurmeet Kaur is an Education Industry Professional with 10 years of experience in teaching and creating digital content. She is a Science graduate and has a PG diploma in Computer Applications. At jagranjosh.com, she creates content on Science and Mathematics for school students. She creates explainer and analytical articles aimed at providing academic guidance to students. She can be reached at gurmeet.kaur@jagrannewmedia.com

... Read More

Get here latest School, CBSE and Govt Jobs notification and articles in English and Hindi for Sarkari Naukari, Sarkari Result and Exam Preparation. Empower your learning journey with Jagran Josh App - Your trusted guide for exams, career, and knowledge! Download Now

Trending

Latest Education News