CBSE Class 12 Maths Assertion and Reasoning Questions for Board Exams 2025, Download Free PDF

Dec 19, 2024, 18:07 IST

Class 12 Maths Assertion and Reasoning Questions: In this article, students can find Class 12 Maths Assertion and Reasoning questions for CBSE Class 12 Maths board exam 2025. Check 1 mark assertion reason questions for class 12 Maths here.

Get here CBSE Class 12 Maths Assertion Reasoning Questions and Download PDF
Get here CBSE Class 12 Maths Assertion Reasoning Questions and Download PDF

CBSE Class 12 Maths Assertion Reasoning Questions PDF: CBSE Class 12 Maths Board exam 2025 is knocking at the doors and all the aspirants must be in desperate need of study materials that can boost their performance in the exam. To assist you all in your preparation journey, Jagran Josh has brought you some important Class 12 Maths Assertion Reasoning questions for the CBSE board exams 2025. These 1-mark questions are a definite ask in the board exams. Students will get 2 Assertion-reasoning-based questions of 1 mark each in the board exam. 

These questions are competency-based questions that focus on evaluating thinking capabilities and practical understanding of the subject in students. The board has since 2020 introduced Assertion-reasoning-based questions in the Class 12 curriculum. These questions can also be quite confusing and tricky at times. Though it has a very low marks weightage in the paper, it becomes immensely important for students to ensure that they do not miss out on these 2 marks for a high score. Check some important Class 12 Maths Assertion Reasoning questions below. 

CBSE Maths Assertion Reasoning Questions for Board Exam 2025

We have provided you all with some important assertion reasoning based questions that we felt were important for the upcoming board exam 2025. Hence, we would advise students not to miss out on these and ensure that you go through them, before sitting for your final tests. 

In the following questions, a statement of Assertion (A) is followed by a statement of Reason (R). Choose the correct answer out of the following choices. 

(a) Both (A) and (R) are true and (R) is the correct explanation of (A). 

(b) Both (A) and (R) are true but (R) is not the correct explanation of (A). 

(c) (A) is true but (R) is false. 

(d) (A) is false but (R) is true.  

1. Assertion (A): The relation P on set X is a transitive relation. 

Reason (R): The relation P has a subset of the form {(a, b), (b, c), (a, c)}, where a, b, c ∈ X.

Answer. d

2. Assertion (A): The maximum value of the function f(x) = x 5 , x ∈ [-1, 1], is attained at its critical point, x = 0.

Reason (R): The maximum of a function can only occur at points where the derivative is zero. 

 Answer. d

3. Assertion (A): The function f is not onto. 

Reason (R): 3 ∈ R (co-domain of f) has no preimage in the domain of f.

Answer. c

4. Assertion (A): The function f(x) = |x − 6|(cos x) is differentiable in 𝑅 − {6}. 

Reason (R): If a function f is continuous at a point c, then it is also differentiable at that point.

Answer. c

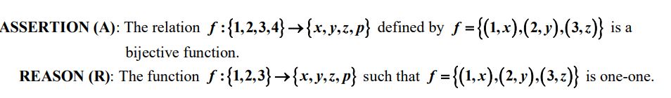
5.

Answer. a

6.

Answer. d

7.

Answer. c

8.

Answer. a

9.

Answer. a

10.

Answer. d

How to Solve Assertion Reasoning Questions

Check the method to solve Assertion-Reasoning questions below. Following this procedure can help you in correctly solving such questions. 

  • Read the Assertion and Reasoning carefully
  • Check the options given below
  • Analyse the assertion and their reasons
  • Carefully check the options one by one
  • Select the most appropriate answer as per the options

Important Resources for CBSE Class 12 Maths Board Exam 2025

The below-provided resources will enhance student's performance in the upcoming CBSE Class 12 Maths Board Exam 2025. Check the complete list below for better guidance and assistance. 

CBSE Class 12 Maths Syllabus 2025

CBSE Class 12 Maths Sample Paper 2025

CBSE Class 12 Maths Exam Pattern & Marking Scheme

CBSE Class 12 Maths Toppers’ Answer Sheet 2024

2 Mark Important Questions for Class 12 Maths CBSE Board Exam 

3 Mark Important Questions for Class 12 Maths CBSE Board Exam 

4 or 5 Mark Important Questions for Class 12 Maths CBSE Board Exam

Anisha Mishra
Anisha Mishra

Content Writer

Anisha Mishra is a mass communication professional and content strategist with a total two years of experience. She's passionate about creating clear, results-driven content—from articles to social media posts—that genuinely connects with audiences. With a proven track record of shaping compelling narratives and boosting engagement for brands like Shiksha.com, she excels in the education sector, handling CBSE, State Boards, NEET, and JEE exams, especially during crucial result seasons. Blending expertise in traditional and new digital media, Anisha constantly explores current content trends. Connect with her on LinkedIn for fresh insights into education content strategy and audience behavior, and let's make a lasting impact together.
... Read More

Get here latest School, CBSE and Govt Jobs notification and articles in English and Hindi for Sarkari Naukari, Sarkari Result and Exam Preparation. Empower your learning journey with Jagran Josh App - Your trusted guide for exams, career, and knowledge! Download Now

Trending

Latest Education News