CBSE Class 12 Electrostatic Potential and Capacitance Formula List: Download PDF

Apr 15, 2024, 17:31 IST

Electrostatic Potential and Capacitance Formula Sheet Class 12: Here, students can find Class 12 Physics Electrostatic Potential and Capacitance formula sheet along with PDF download link of the same. Find the complete list of all formulas for Class 12 Physics Chapter 2 here.

Get here Electrostatic Potential and Capacitance Class 12 Formula Sheet PDF
Get here Electrostatic Potential and Capacitance Class 12 Formula Sheet PDF

Electrostatic Potential and Capacitance Formula Sheet Class 12: In this article, students can find Class 12 Physics Chapter 2 Electrostatic Potential and Capacitance all formulas along with a PDF download link of the same. All the important formulas that could be used in solving NCERT Solutions, revising for the exam, practising numericals have been combined and presented at a single location for students’ ease and convenience. Students can now use the Electrostatic Potential and Capacitance formula sheet and keep it handy at all times. More such formula lists have been prepared by our subject experts, links to which have been provided at the bottom of this article. 

Formula sheets are portable, handy, and quite convenient for reference since students don’t have to keep looking for formulas in the chapter time and again. It saves students’ time and effort, and eases out the process of revision and practise. All the formulas provided below have been picked up from the Class 12 Physics Chapter 1 Electrostatic Potential and Capacitance. Also, download the PDF to save the formula sheet for future reference. 

Electrostatic Potential and Capacitance Class 12 Formula Sheet

  • Work done

, where W is work done, F is the force applied

  • Potential Energy Difference

, where U is the potential energy and P and R are the two points

  • Potential due to a point charge 

, where V is the potential, q is the charge and r is the distance

  • Potential on the dipole axis

, where V is the potential, r is the distance, and p is the point at dipole

  • Relation between field and potential

, where E is the electric field and V is the potential

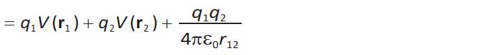
  • Potential Energy of a System of Charges

, q1 and q2 are the point charges and r is the distance between both the points

  • Potential energy of q at r in an external field

, q is the charge and V is the potential

  • Potential Energy of a system of two charges in an external field

  • Potential Energy of a dipole in an external field

, where p is the point at dipole, E is the electric field, and cos θ is the angle

  • Electric Field at the surface of a charged conductor

, σ is the surface charge density

  • Polarisation 

  • Capacitance

  • Capacitance of Parallel Plate Capacitor

  • Dielectric Constant 

  • Capacitors in parallel

  • Combination of capacitors

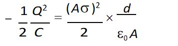
  • Energy stored in a capacitor

  • Energy Density of Electric Field

Also Find: 

Physics Class 12 Formulas (All Chapters)

Tanisha Agarwal
Tanisha Agarwal

Junior Content Writer

Hi! I am Tanisha Agarwal, a journalism and mass communication graduate from Times School of Media, Bennett University. With my first job as a content writer in Jagran New media, I look forward to creating powerful content and exploring every opportunity that lies on my way. I believe that words have the capability of moving rocks and I wish to do the same.
... Read More

Get here latest School, CBSE and Govt Jobs notification and articles in English and Hindi for Sarkari Naukari, Sarkari Result and Exam Preparation. Empower your learning journey with Jagran Josh App - Your trusted guide for exams, career, and knowledge! Download Now

Trending

Latest Education News