CBSE Class 12 Maths Important Questions and Answers for Board Exam 2024: ALL Chapters PDF Download

Mar 8, 2024, 14:18 IST

Maths Important Questions Class 12 CBSE: In this article, students can find CBSE Class 12 Maths important questions for board exams 2024 along with PDF download link of the same. These important questions of Class 12 will assist students in performing well in tomorrow’s CBSE Class 12 Maths Board Exam 2024.

Get here Important Questions for CBSE Class 12 Maths for Board Exam 2024
Get here Important Questions for CBSE Class 12 Maths for Board Exam 2024

CBSE Class 12 Maths Important Questions for Board Exam 2024: As we all know, CBSE board exams 2024 are going on in full swing and students are all geared up for their final exams. On March 9, 2024, the board has scheduled its CBSE Class 12 Maths board exam 2024 and all the aspirants might be in search of authentic and useful study resources to boost their performance. We would like to assist you all in your preparation journey with the help of CBSE Class 12 Maths Important Questions for Board Exam 2024. All the questions and answers provided below have been prepared in reference to the marks weightage and exam pattern laid out by the board on its official website. Previous year question papers, expectations of experts and a lot more has been involved in the preparation process of the list of important questions provided to you below. 

For your reference, we have also divided the list of questions according to their marks segmentation which means that students can find Class 12 Maths important questions of 2 marks, MCQs, 3 marks, 4 or 5 Marks, Assertion and Reasoning, and a lot more, as segregated by the board in its exam pattern. 

Important Questions for CBSE Class 12 Maths Board Exam 2024

Find the marks-wise important questions for CBSE Class 12 Maths board exam 2024 below. 

Important MCQs for Class 12 Maths Board Exam 2024

1. The corner points of the bounded feasible region determined by a system of linear constraints are (0,3),(1,1), and (3,0). Let Z=px+qy, where p,q>0. The condition on p and q so that the minimum of Z occurs at (3,0)and (1,1) is

(a) p = 2q

(b) p = q/2 

(c) p= 3q

(d) p=q

Answer. (b)

2. In the interval (1,2) the function f(x)= 2|x-1|+3|x-2|is

(a) Strictly Increasing

(b) Strictly Decreasing

(c) Neither Increasing nor Decreasing

(d) Remains constant

Answer.(b)

3. The solution set of the inequation 3x+2y>3 is

(a) half plane containing the origin

(b) half plane not containing the origin

(c) the point being on the line 3x+2y=3+ =

(d) None of these

Answer. (b)

4. In a hockey match, both teams A and B scored same number of goals up to the end of this game, so to decide the winner, the referee asked both the captains to throw a die alternately and decided that the team, whose captain gets a six first, will be declared the winner. If the captain of team A was asked to start, then probability of B winning the match is.

(a) 1 / 6

(b) 5 / 6

(c) 5/11

(d) 6 / 11

Answer.(c)

5. The direction ratios of the line 3x+1=6y−2=1–z are

(a) 3, 6, 1

(b) 3, 6, -1

(c) 2, 1, 6

(d) 2, 1, -6

Answer. (d)

For the Top 50 MCQs, check the link below

CBSE Class 12 Maths MCQs for Board Exam 2024

Important Assertion Reasoning Questions for Class 12 Maths Board Exam 2024

1. Assertion (A): The relation P on set X is a transitive relation. 

Reason (R): The relation P has a subset of the form {(a, b), (b, c), (a, c)}, where a, b, c ∈ X.

2. Assertion (A): The maximum value of the function f(x) = x 5 , x ∈ [-1, 1], is attained at its critical point, x = 0.

Reason (R): The maximum of a function can only occur at points where the derivative is zero. 

3. Assertion (A): The function f is not onto. 

Reason (R): 3 ∈ R (co-domain of f) has no preimage in the domain of f.

4. Assertion (A): The function f(x) = |x − 6|(cos x) is differentiable in 𝑅 − {6}. 

Reason (R): If a function f is continuous at a point c, then it is also differentiable at that point.

5.

For more Assertion Reasoning Based Questions, click on the link below

CBSE Class 12 Assertion Reasoning Based Questions

Important 2 Mark Questions for Class 12 Maths Board Exam 2024

1. Find the domain of the function y = cos-1 (|x - 1|). Show your steps.

2. Iqbal, a data analyst in a social media platform is tracking the number of active users on their site between 5 pm and 6 pm on a particular day. The user growth function is modelled by N(t) = 1000e 0.1t , where N(t) represents the number of active users at time t minutes during that period.Find how fast the number of active users are increasing or decreasing at 10 minutes past 5 pm. Show your steps.

3. Draw the graph of the following function: y = 2sin-1 (x), -π ≤ y ≤ π

4. Based on the above equation, find tan-1(1/x) using the principal values of the inverse trigonometric functions. Show your work.

5. If A is a square matrix such that A2 = I, then find the simplified value of (A – I)3 + (A + I)3 – 7A.

6. Find the maximum profit that a company can make, if the profit function is given by P(x)=72+42x-x2, where x is the number of units and P is the profit in rupees.

7. Prove that if E and F are independent events, then the events E and F’ are also independent.

For more 2 Marks Important Questions, check the link below

CBSE Class 12 Maths 2 Mark Important Questions for Board Exam 2024

Important 3 Mark Questions for Class 12 Maths Board Exam 2024

1. If f: {1,3, 4} {1, 2, 5} and g: {1,2, 5} → {1,3} given by f = {(1,2), (3, 5), (4,1) and g = {(1,3), (2, 3), (5,1)}. Find gof.

2. Prove that sin-1(3/5) - sin-1(8/17) = cos-1(84/85)

3. Draw a rough sketch of the curve y=1+|x+1|, x=−3, x=3, y=0 and find the area of the region bounded by them using integration.

4. A and B are two independent events. The probability that both A and B occur is 1/6 and the probability that neither of them occur is 1/3. Find the probability of the occurrence of A.

5. Question 1: Solve the following Linear Programming Problem graphically: 

Minimize Z = 3x + 9y Subject to the constraints

x + 3y ≤ 60

x + y ≥ 10

x ≤ y

x ≥0

y ≥0

For more 3 Marks Important Questions, check the link below

CBSE Class 12 Maths 3 Mark Important Questions for Board Exam 2024

Important 4 or 5 Mark Questions for Class 12 Maths Board Exam 2024

1. Consider f: R→[-5,∞) given by f(x)=9x2+6x-5 where R is the set of all non- negative real numbers. Prove that f is one- one and onto function.

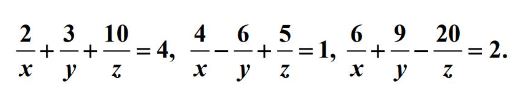
2. Using the matrix method, solve the following system of linear equations

3.

4. i) Find the vector and cartesian equations of the straight line passing through the point (-5, 7, -4) and in the direction of (3, -2, 1).

ii) Find the point where this straight line crosses the xy-plane.

Show your work.

5. Find the area of the smaller region bounded by the ellipse

For more 4 or 5 Marks Important Questions, check the link below

CBSE Class 12 Maths 4 or 5 Mark Important Questions for Board Exam 2024

Other Important Resources for Preparation of CBSE Class 12 Maths Board Exam 2024

CBSE Class 12 Maths Most Repeated Questions

CBSE Class 12 Maths Previous Year Questions

CBSE Class 12 Maths Important Formulas for Board Exam 2024

CBSE Class 12 Maths Last Minute Preparation Tips & Resources

CBSE Class 12 Maths Last-Minute Revision Notes

CBSE Class 12 Maths Toppers Answer Sheet 

 

Tanisha Agarwal
Tanisha Agarwal

Junior Content Writer

Hi! I am Tanisha Agarwal, a journalism and mass communication graduate from Times School of Media, Bennett University. With my first job as a content writer in Jagran New media, I look forward to creating powerful content and exploring every opportunity that lies on my way. I believe that words have the capability of moving rocks and I wish to do the same.
... Read More

Get here latest School, CBSE and Govt Jobs notification and articles in English and Hindi for Sarkari Naukari, Sarkari Result and Exam Preparation. Empower your learning journey with Jagran Josh App - Your trusted guide for exams, career, and knowledge! Download Now

Trending

Latest Education News