Coordinate Geometry Class 10 Notes: CBSE 10th Mathematics Chapter 7, Download PDF

Nov 17, 2023, 13:51 IST

CBSE Class 10 Coordinate Geometry Notes: Class 10 Chapter 7 Coordinate Geometry revision notes have been provided to you in this article. These short notes on quadratic equations will further add to your knowledge related to the chapter and assist you in preparing well for the examinations.

Download PDF for CBSE Class 10 Chapter 7 Coordinate Geometry Notes
Download PDF for CBSE Class 10 Chapter 7 Coordinate Geometry Notes

Coordinate Geometry Class 10 Notes: Revision notes for CBSE Class 10 Mathematics Chapter 7, Coordinate Geometry have been presented for students of class 10 in this article. A PDF download link for short notes on coordinate geometry has been attached below. These revision notes have been prepared on the basis of the updated and revised CBSE Class 10 Syllabus 2024 for the CBSE Board Exam 2024 aspirants.

Though we would advise you to make your notes while reading the chapters, if time does not permit, you can refer to the revision notes presented here. All the important topics from the chapter have been covered in these short notes to help you clear your doubts and ensure that you can solve the NCERT questions. A few formulas have also been attached for your reference. Use these formulas in solving the NCERT exercises.

Revision Notes for CBSE Class 10 Mathematics Chapter 7 Coordinate Geometry

The revision notes for Class 10 Maths Chapter 7 Coordinate Geometry are presented below for students. Have a look at these revision notes and use the PDF download link to save the notes if it interest you and help you in your preparation for the examination. 

  • Abscissa- The distance of a point from the y-axis is called its x-coordinate, or abscissa.
  • Ordinate- The distance of a point from the x-axis is called its y-coordinate, or ordinate.
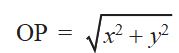
  • Distance Formula-
  • The distance of a point P(xy) from the origin O(0, 0) is given by
  • A point which is equidistant from A and B lies on the perpendicular bisector of AB
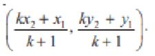
  • Section Formula-
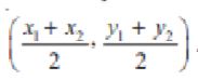
  • Mid Point-

For complete Class 10 Coordinate Geometry Short Notes, click on the link below

Tanisha Agarwal
Tanisha Agarwal

Junior Content Writer

Hi! I am Tanisha Agarwal, a journalism and mass communication graduate from Times School of Media, Bennett University. With my first job as a content writer in Jagran New media, I look forward to creating powerful content and exploring every opportunity that lies on my way. I believe that words have the capability of moving rocks and I wish to do the same.
... Read More

Get here latest School, CBSE and Govt Jobs notification and articles in English and Hindi for Sarkari Naukari, Sarkari Result and Exam Preparation. Empower your learning journey with Jagran Josh App - Your trusted guide for exams, career, and knowledge! Download Now

Trending

Latest Education News