Bihar Board Model Papers 2025 PDF: The BSEB Class 12 Mathematics Paper for Board Exam 2025 is scheduled for Monday, February 1, 2025. Students preparing for the exam must download the latest Mathes model papers to practise effectively. The BSEB Class 12 Maths model paper will help familiarise students with the exam format, types of questions, and time management. By solving this, students can assess their readiness and focus on important topics for better performance in the upcoming board exams.
This article provides Bihar Board Class 12 Mathematics Model Paper 2025 in PDF format. Additionally, it includes important exam dates to help you plan your studies effectively.
Also Check| BSEB Class 12 Maths Syllabus for Board Exam 2025
Bihar Board 12th Mathematics Model Papers 2024-25
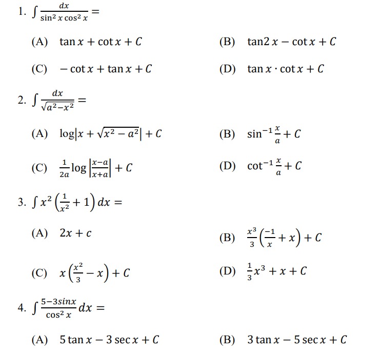
Here is the Bihar Board Mathematics model paper. These model papers are provided for the inter students who will sit for board exams this year. Click on the link to see and download the Mathematics sample papers.






↓
↓
↓
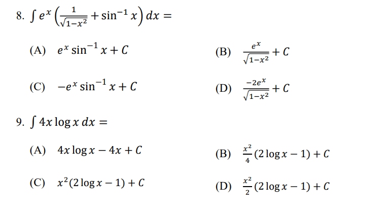
To download this complete set of Maths questions with and get more diverse options, click on the link below:
Bihar Board 12th Maths Model Papers Download PDF
Bihar Board Class 12 Exam Dates 2025
The Bihar School Examination Board (BSEB) has announced the Class 12 Exam Dates for 2025. The exams are set to begin on February 1, 2025 and will end on February 15, 2025. Students can check the official schedule on the BSEB website or at Jagran Josh and start their preparations accordingly.
IMPORTANT TOPICS SUBJECT-WISE | ||
Physics | Chemistry | Mathematics |
Biology | ||
Comments
All Comments (0)
Join the conversation