RRB NTPC 2021 Exam (Phase-1) Memory Based Maths Questions with Answers: RRB NTPC 2020-21 Exam has been commenced from 28th December 2020. Today, the exam was conducted for the RRB Non-Technical Popular Categories (NTPC) 35208 Graduate & Under-Graduate Posts in two shifts. RRB NTPC 2020 Exam will be conducted for around 23 lakh Candidates in Phase-1, i.e., from 28th December 2020 to 13th January 2021 and for around 27 Lakh Candidates in Phase-2, i.e., from 16th January to 30th January 2021.
Check RRB NTPC 2020 Exam Analysis - Difficulty Level & Good Attempts
In this article we are going to share the important memory based General Intelligence & Mathematics section Questions as per the feedback received by the candidates who have appeared for RRB NTPC 2020 Online Exam. Candidates are advised to definitely cover these questions for scoring high marks in the Exam. Letโs have a look at the Important Questions that are being covered in the RRB NTPC 2020 Exam:
Check RRB NTPC 2020 Exam Schedule
RRB NTPC 2021 Mathematics Section Memory Based Questions with Answer (Phase-1) |
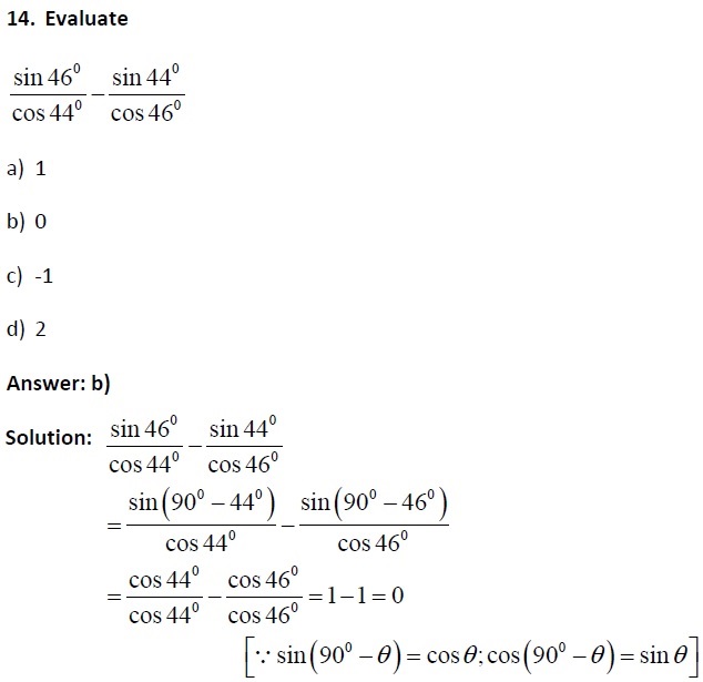
1. The marked price of an article for sale is 20% of its cost price. How much percent does the dealer gain by allowing a discount of 15%?
a) 5%
b) 7%
c) 10%
d) 6.25%
Answer: d)
Solution: Let the CP of the article be Rs. 100
Marked Price = 100 ร100/80 = ๐ ๐ . 125
Then, SP after discount = 125 ร 85/100 = Rs. 106.25
Gain Percent = (106.25 โ 100/100) ร 100 = 6.25%
Check GA/GK/Current Affairs Memory Based Questions with Answers of RRB NTPC 2020 Exam
2. A sells an article to B on 20% profit. B sells back the article to A on 20% loss. In the whole transaction:
a) A left with no profit and no loss
b) A earns 20% profit
c) A earns 24% profit
d) B incurs 40% loss
Answer: c)
Solution: Let the CP of A be Rs.100
Then, CP of B = 100 + 20% = Rs. 120
SP of B = 120 (100 โ 20)/100 = ๐ ๐ . 96
Total profit of A = (120 โ 100) + (100 โ 96) = 24%
Check RRB NTPC 2020 Memory Based General Science Questions - Biology/ Chemistry/ Physics
3. A and B together can complete a work in 10 days. A alone can complete the work in 15 days. If B does the work only half a day daily, then in how many days A and B together will complete the work?
a) 10 Days
b) 15 Days
c) 12 Days
d) 20 Days
Answer: c)
Solution: Bโs 1 dayโs work = 1/10โ 1/15 = 1/30
Bโs 1/2 dayโs work = 1/60
(A+B) together will complete work in = 1/15 + 1/60 = 1/12 = 12 days
Check RRB NTPC 2020-21 Memory Based Indian Polity Questions with Answers
4. A and B together can complete a piece of work in 20 days. B and C together can complete in 30 days. If A is twice as good a workman as C, then in how many days will B alone can complete the same work?
a) 30 Days
b) 60 Days
c) 40 Days
d) 10 Days
Answer: b)
Solution: A+Bโs 1 dayโs work = 1/20
B+Cโs 1 dayโs work = 1/30
Since, A is twice as good a workman as C.
โด A = 2C
B+2C = 1/20
C = 1/20 - 1/30 = 1/60
B can complete the same work = 1/30 - 1/60 = 1/60 = 60 Days
Check RRB NTPC 2020 GK History Memory Based Questions with Answers

Check RRB NTPC 2020 GK Geography Memory Based Questions with Answers

Check RRB NTPC 2020 Memory Based Reasoning Questions with Answers

8. What will be the simple interest on an amount of Rs. 2000 in 3 years at interest 4% per annum?
a) Rs. 280
b) Rs.240
c) Rs.250
d) Rs. 220
Answer (b)
Solution: Simple Interest = ๐ ร๐ ร ๐/100
2000 ร4 ร3/100 = Rs.240
Check RRB NTPC 2020 Exam 7 Last Minute Preparation Tips
9. If xโ1/๐ = 3, then value of x3 โ 1/๐๐ is:
a) 32
b) 36
c) 40
d) 49
Answer (b)

Check RRB NTPC 2020 Admit Card & Exam Updates
10. If a +b +c = 6, a2+b2+c2=14 and a3+b3+c3 = 36, then value of abc is:
a) 3
b) 5
c) 6
d) 12
Answer (c)
Solution:
a +b + c = 6
a2+b2+c2=14
a3+b3+c3 = 36
Put value as
A = 1, b = 2, c = 3
1 + 2 + 3 = 6
1+4+9=14
1+8+27=36
โด abc = 1ร2ร3 = 6
Check Detailed RRB NTPC 2020 Exam Pattern & Syllabus
11. The average weight of 20 students in a class is 44 kg and that of the remaining 10 student is 38. Find the average weights of all the students the class:
a) 39 kg
b) 43 kg
c) 41 kg
d) 42 kg
Answer (d)
Solution: Total weight of 20 student = 20 ร 44 = 880
Total weight of 10 student = 10 ร 38 = 380
Average weights of all the students = (880 + 380)/30 =1260/30 = 42 kg
Check RRB NTPC 2020 Eligibility Criteria
12. The difference in C.I and S.I for 2 years on a sum of money is Rs.320. If the S.I for 2 years be Rs.5760, the rate percent is:
a) 105/9%
b) 100/8%
c) 100/9%
d) 9%
Answer: c)
Solution: S.I for 1 year = Rs.2880
S.I on Rs. 2880 for 1 year = Rs.320
Hence, rate percent = 320*100/2880 = 100/9%
Check RRB NTPC Salary after 7th Pay Commission, Job Profile and Promotion Policy

Check RRB NTPC 2020 Exam & Admit Card Rules

Check the Minimum Qualifying Marks for RRB NTPC 2020 Exam
15. Two trains starting at the same time from two stations 400 km apart and going in opposite direction cross each other at a distance of 230 km from one of the stations. What is the ratio of their speeds?
a) 11:9
b) 23:17
c) 18:4
d) None of these
Answer (b)
Solution: In same time, they cover 230 km and 170 km respectively.
For the same time speed and distance is inversely proportional.
So ratio of their speed = 230 : 170 = 23 : 17
16. If ๐ + ๐= ๐ , then the value of the expression ๐3+๐3 โ ๐3 โ๐๐๐๐ will be:
a) 0
b) 3abc
c) -3abc
d) ๐3
Answer: a)
Solution: ๐+ ๐ = ๐
๐ + ๐ โ ๐ = 0 โ ๐ + ๐ + (โ๐) = 0
โ ๐3+๐3+ (โ๐3)+3๐๐ โ๐ = 0
โ ๐3+๐3 โ ๐3โ3๐๐๐ = 0
Check RRB NTPC 2021 Books & Authors GK questions with Answers
Check RRB NTPC 2021 GK Important Days Memory Based Questions with Answers
Check RRB NTPC 2021 GK Sports & Awards Memory Based Questions with Answers
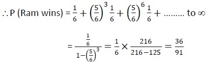
17. Ramesh, Mahesh and Suresh throw a dice in succession till one gets a โsixโ and wins the game. Then the probability of Rameshโs winning is:
a) 25/91
b) 36/91
c) 31/90
d) None of these
Answer: b)
Solution: P (throwing a โsixโ in a single throw) = 1/6
And P (not throwing a six in a single throw) = 5/6
Suppose that Ramesh has the first throw, then Ramesh wins at 1st, 4th, 7th, 10th, โฆโฆโฆ throw and all these ways of winning are mutually exclusive.

Comments
All Comments (0)
Join the conversation